优先发表More>
优先发表栏目展示本刊经同行评议确定正式录用的文章,这些文章目前处在编校过程,尚未确定卷期及页码,但可以根据DOI进行引用。
显示方式:
当前状态:
, 最新更新时间:
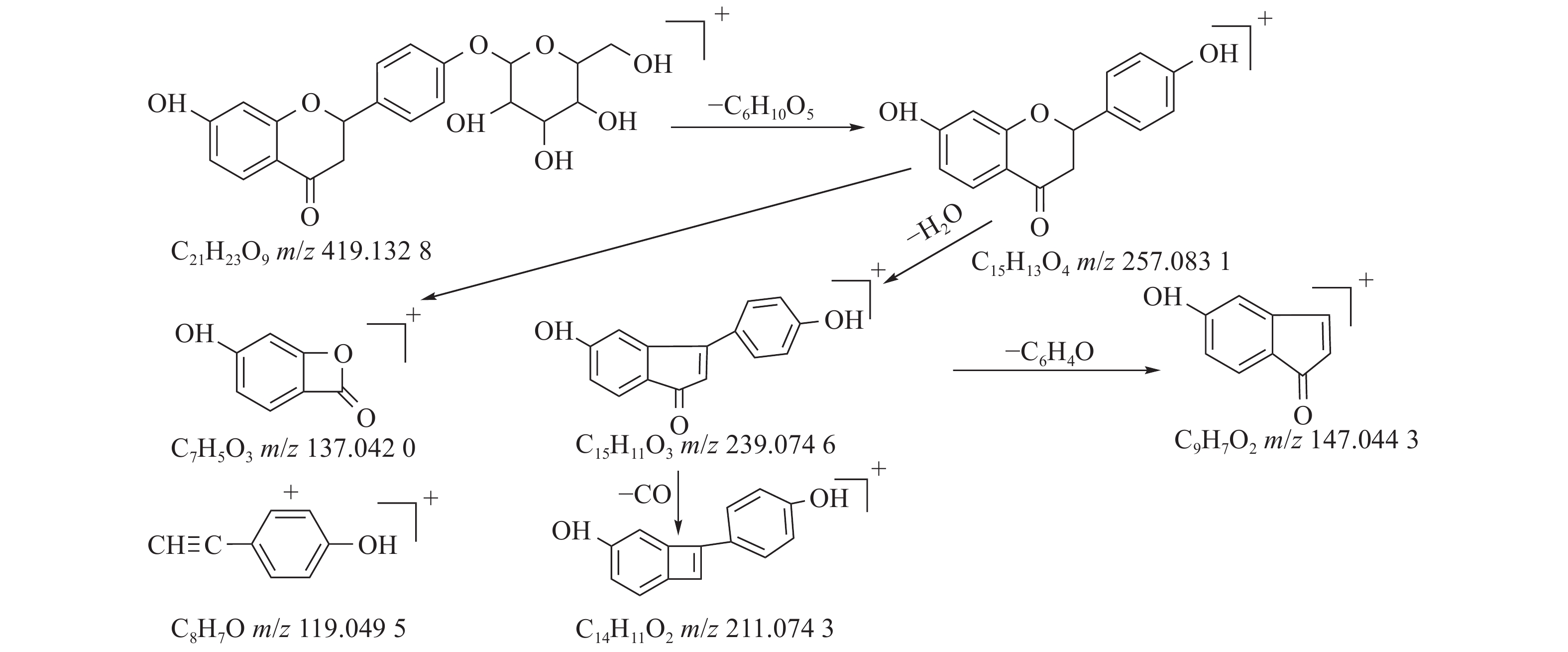
doi: 10.12206/j.issn.2097-2024.202403056
摘要:
目的 探讨钠-葡萄糖协同转运蛋白2(SGLT-2)抑制剂相关非高血糖性酮症酸中毒(euDKA)的影响因素,并建立风险预测模型。 方法 回顾性分析2020年1月至2023年12月厦门大学附属东南医院收治的接受SGLT-2抑制剂治疗的2型糖尿病患者的临床资料,包括年龄、性别、糖尿病病程等,采用单因素分析和多因素Logistic回归分析SGLT-2抑制剂相关euDKA的影响因素,并建立预测模型。根据受试者工作特征(ROC)曲线确定预测模型的曲线下面积(AUC)及最佳临界值。并对预测模型进行内外部验证。 结果 本研究共纳入119例接受SGLT-2抑制剂治疗的2型糖尿病患者,其中未出现euDKA共98例(非euDKA组),出现euDKA共21例(euDKA组)。多因素Logistic回归分析显示,DKA病史、入院前3 d食欲或进食下降、中性粒细胞计数升高和院前调整降糖药是增加SGLT-2抑制剂相关euDKA风险的独立影响因素(OR=114.153,21.774,2.056,45.745,P<0.05);用药期间手术史是降低该风险的独立影响因素(OR=0.007,P<0.05)。通过建立预测模型的计算公式=中性粒细胞计数+6.571(DKA病史)-6.874(用药期间手术史)+4.273(入院前3 d食欲或进食下降)+5.302(院前调整降糖药),绘制ROC曲线。预测模型的ROC曲线下面积(AUC)为0.982(95%CI:0.961~1.000,P<0.001),准确率为94.96%,敏感度为0.905,特异度为0.959,临界值为7.405。模型十折交叉验证后ROC曲线AUC为0.930。另外,预测模型外部验证的准确率为85.29%。 结论 DKA病史、入院前3 d食欲或进食下降、中性粒细胞计数升高和院前调整降糖药增加SGLT-2抑制剂相关euDKA的风险,用药期间手术史降低该风险。据此建立的预测模型对SGLT-2抑制剂相关euDKA的风险具有良好的预测价值。
当前状态:
, 最新更新时间:
doi: 10.12206/j.issn.2097-2024.202508024
摘要:
目的 探讨有氧运动联合舍曲林治疗老年卒中后抑郁(PSD)的疗效,评估其对认知功能和炎性细胞因子的影响。 方法 选取 2022年6月至2024年12月徐州医科大学附属徐州市立医院收治的70例老年PSD患者。采用随机数字表法将患者分为对照组(舍曲林治疗)和试验组(有氧运动联合舍曲林治疗),各35例,疗程为8周。比较2组治疗前和治疗4、8周的汉密尔顿抑郁量表(HAMD)评分,评估临床疗效;比较治疗前后的认知功能[简易智力状态检查量表(MMSE)]和炎性细胞因子[白介素-1β(IL-1β)、白介素-6(IL-6)、肿瘤坏死因子-α(TNF-α)]水平。 结果 治疗前 2组患者基线资料差异均无统计学意义,治疗后4周、8周的HAMD评分均较治疗前明显降低,差异均有统计学意义(P<0.05);组间相比,试验组治疗后4周、8周的HAMD评分均小于对照组,差异均有统计学意义(P值均<0.05)。试验组临床总有效率为94.29%,高于对照组的77.14%,差异有统计学意义(P<0.05)。2组患者治疗后4周、8周的MMSE评分均较治疗前明显升高,差异均有统计学意义(P值均<0.05);组间相比,试验组治疗后4周、8周的MMSE评分均小于对照组,差异均有统计学意义(P值均<0.05)。2组患者治疗后4周、8周的血清IL-1β、IL-6、TNF-α均较治疗前明显降低,差异均有统计学意义(P值均<0.05);组间相比,试验组治疗后4周、8周的血清IL-1β、IL-6、TNF-α均低于对照组,差异均有统计学意义(P值均<0.05)。2组不良反应发生率分别为8.57%、5.71%,差异无统计学意义(P>0.05)。 结论 有氧运动联合舍曲林治疗老年PSD有助于减轻抑郁症状,提高临床疗效,改善认知功能,减轻炎性细胞因子表达水平,安全可靠。
当前状态:
, 最新更新时间:
doi: 10.12206/j.issn.2097-2024.202601008
摘要:
目的 分析注射用哌拉西林钠他唑巴坦钠致极重度血小板增多的临床特点及危险因素,为此类患者的药物治疗与监护提供参考。 方法 临床药师发现1例使用注射用哌拉西林钠他唑巴坦钠后出现极重度血小板增多,通过药物不良反应分析、药物治疗方案优化和药学监护等方法参与临床诊疗。 结果 极重度血小板增多很可能是注射用哌拉西林钠他唑巴坦钠引起的不良反应,立即停药,并给予阿司匹林抗血小板治疗,2周后患者血小板较前明显降低。 结论 临床药师通过参与患者诊疗,协助医师进行治疗方案调整,开展药学监护,保障患者药物治疗的安全及有效性。
当前状态:
, 最新更新时间:
doi: 10.12206/j.issn.2097-2024.202506026
摘要:
目的 建立一种高效、灵敏的桔梗皂苷类成分鉴定分析技术体系,系统比较不同产地桔梗皂苷类成分差异,以期为桔梗药材优质资源筛选、道地性评价以及标准化质量控制体系提供科学的参考。 方法 以安徽、河南、吉林3个产地共45批桔梗药材(每个产地15批)为研究对象,基于超高效液相色谱-四极杆-飞行时间串联质谱(UHPLC-Q-TOF/MS)技术对皂苷类成分进行定性鉴别及半定量分析,同时结合主成分分析(PCA)、偏最小二乘判别分析(PLS-DA)两种多元统计方法解析不同产地桔梗的皂苷类成分差异。 结果 从3个产地桔梗中共鉴定出28种皂苷类成分,PCA分析表明河南桔梗与吉林桔梗皂苷类成分差异较小,安徽桔梗与二者皂苷类成分存在较大差异;PLS-DA进一步筛选出15种主要差异化合物,其中3''-O-乙酰远志皂苷D2、桔梗皂苷H等6种成分在安徽桔梗中的含量高于河南桔梗、吉林桔梗;桔梗酸A在吉林桔梗中的含量最高;桔梗皂苷D3、远志皂苷J、远志皂苷D等在河南桔梗中的含量更优。 结论 本研究明确了3大产区桔梗的核心成分差异特征,为桔梗优质药材资源筛选、道地性成因解析以及标准化质量控制体系构建提供了重要的理论依据。
当前状态:
, 最新更新时间:
doi: 10.12206/j.issn.2097-2024.202507029
摘要:
高尿酸血症(hyperuricemia,HUA)是一种常见的代谢紊乱性疾病,而血清尿酸持续升高则会造成尿酸相关性肾功能损伤。该文对具有降尿酸及肾保护作用的中药复方(如四妙散、痛风宁等)及中药单体组分(包括生物碱类、黄酮类、多糖类等)进行了归纳,并对其可能作用机制进行系统综述,包括调节尿酸转运蛋白(有机阴离子转运体1、尿酸转运体1、葡萄糖转运体9等)机制,抑制炎性反应作用(调控NF-κB等相关信号通路),抗氧化应激(调节线粒体功能相关通路,促进抗氧化酶的生成),减少肾纤维化(PI3K/AKT等相关通路),改善肾组织损伤,从而达到防治HUA性肾损伤的目的。目前相关研究存在作用机制尚未完全明确、临床方向研究不足等问题。因此,未来研究应深入挖掘中医药资源,着重探讨兼具降尿酸与肾保护的作用机制及应用潜力,为HUA肾保护的治疗提供新的思路和方法。
高尿酸血症(hyperuricemia,HUA)是一种常见的代谢紊乱性疾病,而血清尿酸持续升高则会造成尿酸相关性肾功能损伤。该文对具有降尿酸及肾保护作用的中药复方(如四妙散、痛风宁等)及中药单体组分(包括生物碱类、黄酮类、多糖类等)进行了归纳,并对其可能作用机制进行系统综述,包括调节尿酸转运蛋白(有机阴离子转运体1、尿酸转运体1、葡萄糖转运体9等)机制,抑制炎性反应作用(调控NF-κB等相关信号通路),抗氧化应激(调节线粒体功能相关通路,促进抗氧化酶的生成),减少肾纤维化(PI3K/AKT等相关通路),改善肾组织损伤,从而达到防治HUA性肾损伤的目的。目前相关研究存在作用机制尚未完全明确、临床方向研究不足等问题。因此,未来研究应深入挖掘中医药资源,着重探讨兼具降尿酸与肾保护的作用机制及应用潜力,为HUA肾保护的治疗提供新的思路和方法。
当前状态:
, 最新更新时间:
doi: 10.12206/j.issn.2097-2024.202403020
摘要:
葵,始载于《周礼》,是最早有记录的中华驯化野菜,在《齐民要术》中被称为“百菜之主”,在我国有着悠久的食用与药用历史。葵子作为药物首载于《神农本草经》,具有两千多年的药用历史,临床应用历史悠久。通过查阅古今本草文献,对葵的首载本草、各类记载的典籍、混淆品及药用历史进行考证,正本清源。考证认为古代本草记载葵基原植物应为锦葵科植物冬葵Malva verticillata L.,为冬葵的开发利用提供科学依据。
葵,始载于《周礼》,是最早有记录的中华驯化野菜,在《齐民要术》中被称为“百菜之主”,在我国有着悠久的食用与药用历史。葵子作为药物首载于《神农本草经》,具有两千多年的药用历史,临床应用历史悠久。通过查阅古今本草文献,对葵的首载本草、各类记载的典籍、混淆品及药用历史进行考证,正本清源。考证认为古代本草记载葵基原植物应为锦葵科植物冬葵Malva verticillata L.,为冬葵的开发利用提供科学依据。
当前状态:
, 最新更新时间:
doi: 10.12206/j.issn.2097-2024.202504044
摘要:
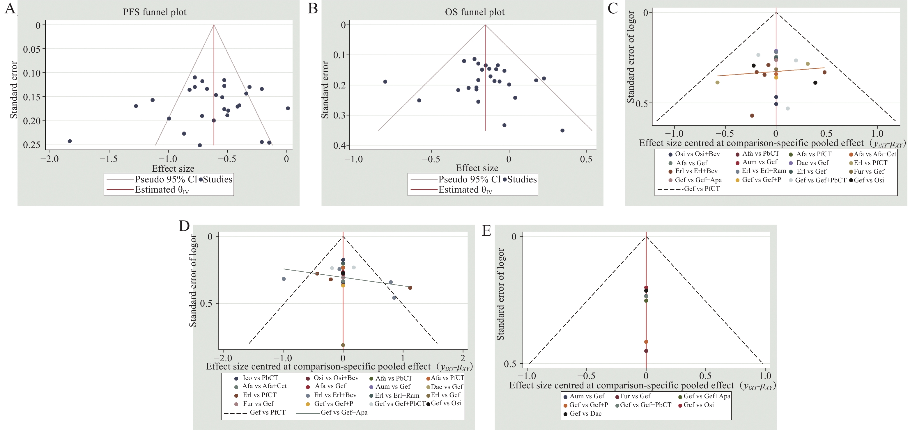
目的 探究表皮生长因子受体酪氨酸激酶抑制剂(EGFR-TKIs)单药治疗及其联合治疗在 EGFR突变晚期非小细胞肺癌(NSCLC)患者一线治疗中的有效性和安全性。 方法 系统检索PubMed、Embase、Cochrane Library及ClinicalTrials.gov等数据库,收集符合要求的Ⅱ/Ⅲ期随机对照试验(RCT),时间范围为建库至2023年6月。由2名研究者独立筛选文献、提取数据并评价研究偏倚风险,对总生存期(OS)、无进展生存期(PFS)、客观缓解率(ORR)及3级及以上不良事件(≥3AEs)和严重不良事件(SAEs)等结局数据进行收集。在贝叶斯理论框架下,使用R软件(版本4.2.1)进行网状Meta分析。同时,根据患者不同病理生理特点,对生存结局(OS、PFS)进行亚组分析。 结果 研究纳入28项Ⅱ/Ⅲ期RCT,共7 460例患者,涉及18种一线治疗方案。结果显示,疗效方面,吉非替尼联合培美曲塞的化疗在OS和ORR方面表现最优,奥希替尼联合贝伐珠单抗在PFS方面表现最优。安全性方面,伏美替尼≥3AEs发生率最低,奥希替尼SAEs发生率最低。亚组分析结果显示,针对患者不同临床病理特征,各治疗方案的疗效和安全性存在差异。 结论 以奥希替尼为代表的第三代EGFR-TKIs单药治疗是综合疗效与安全性的优选方案,部分联合治疗可提高生存获益但需警惕毒性增加。临床需结合患者突变类型、并发症和耐受性个体化选择治疗方案。
当前状态:
, 最新更新时间:
doi: 10.12206/j.issn.2097-2024.202504131
摘要:
目的 探讨基于失效模式与效应分析(FMEA)的规范化管理方法在优化静脉用药调配中心(PIVAS)全过程质量控制体系中的应用效果。 方法 由护士长牵头建立6个质量控制小组,药学、护理、工勤人员全员参与,确保质量控制各环节全面覆盖、可追溯。各小组对其质量控制过程中的潜在失效模式进行风险优先指数(RPN)评分,并根据评分结果制定针对性改进措施。比较实施前后失效模式的RPN值及质量控制相关评价指标,实现闭环管理。 结果 经过1年管理,6项主要失效模式RPN值较实施前显著降低(P<0.05),配置差错率从2.45%下降至0.13%,排药差错率由3.19%下降至0.95%,配置效率提升至98%,配送时间缩短至0.45小时/批次,不合理医嘱干预率提升至94.87%,满意度提升至96.78%,质控人员参与率达95.36%(P<0.05)。 结论 基于 FMEA 对静脉用药调配中心全流程质量控制体系中潜在失效模式的识别,结合风险量化和针对性干预,显著降低了失效模式的高危风险,提升配置准确性和效率,保障临床静脉用药安全及医疗质量管理效能。
当前状态:
, 最新更新时间:
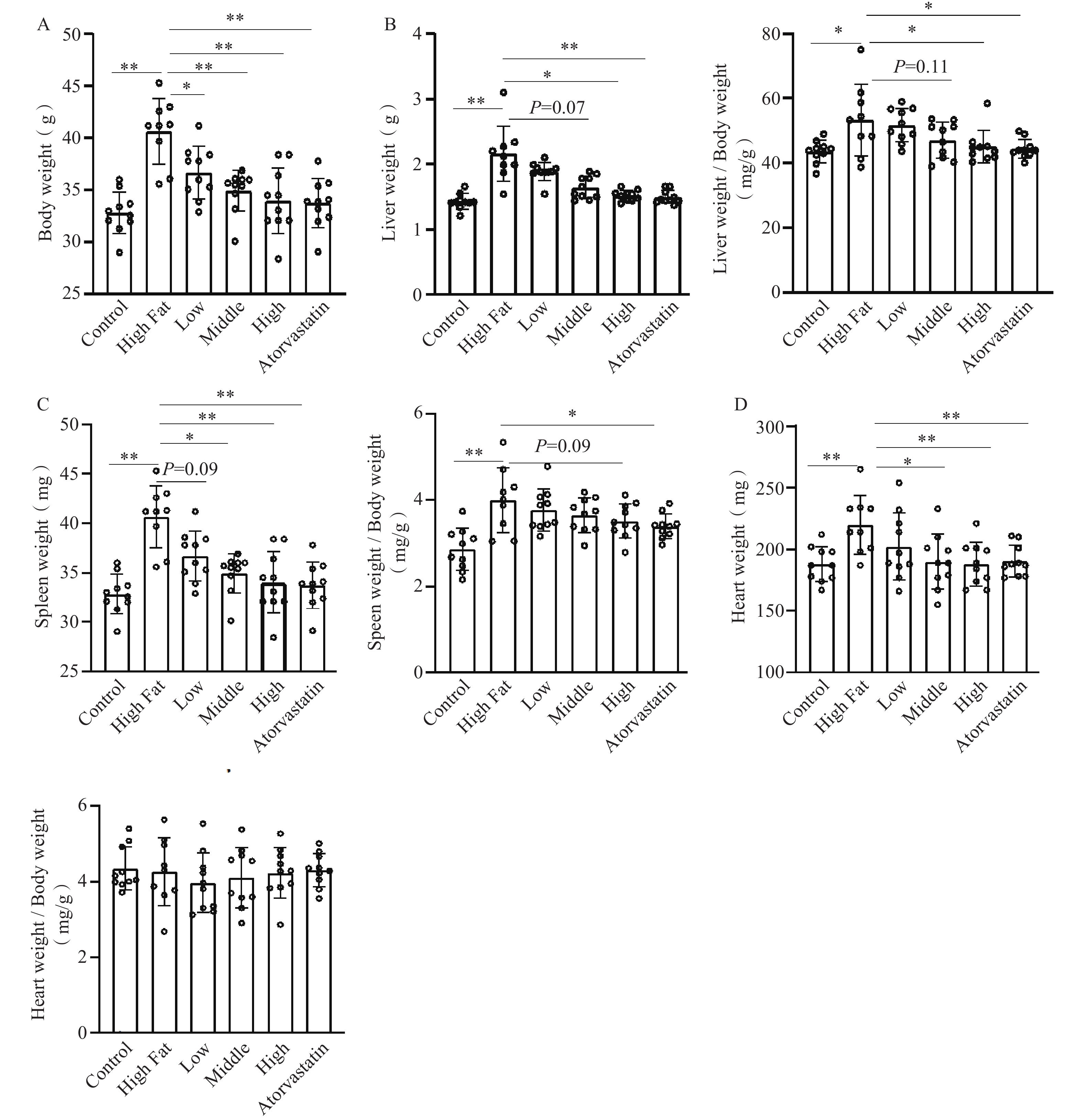
doi: 10.12206/j.issn.2097-2024.202502015
摘要:
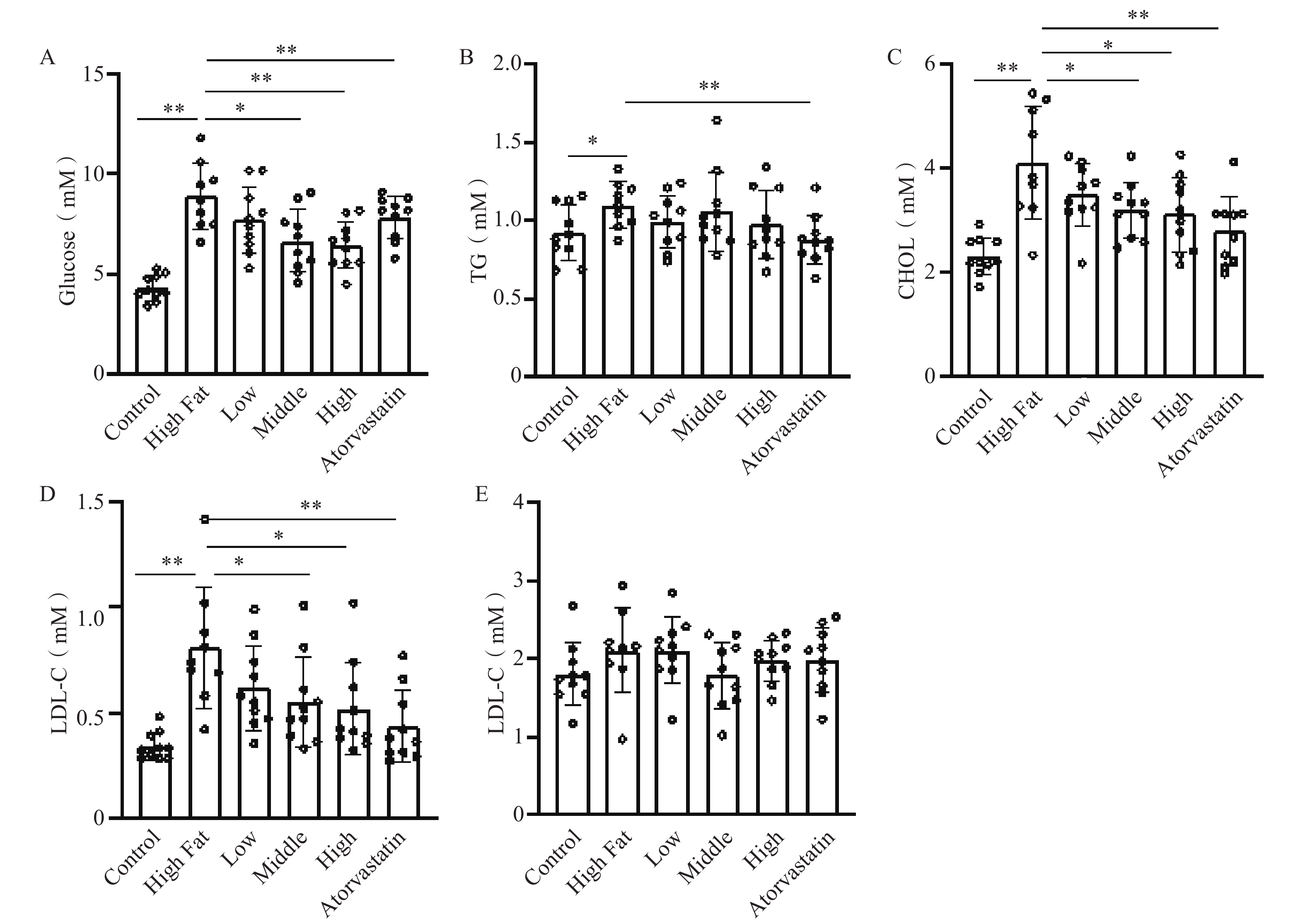
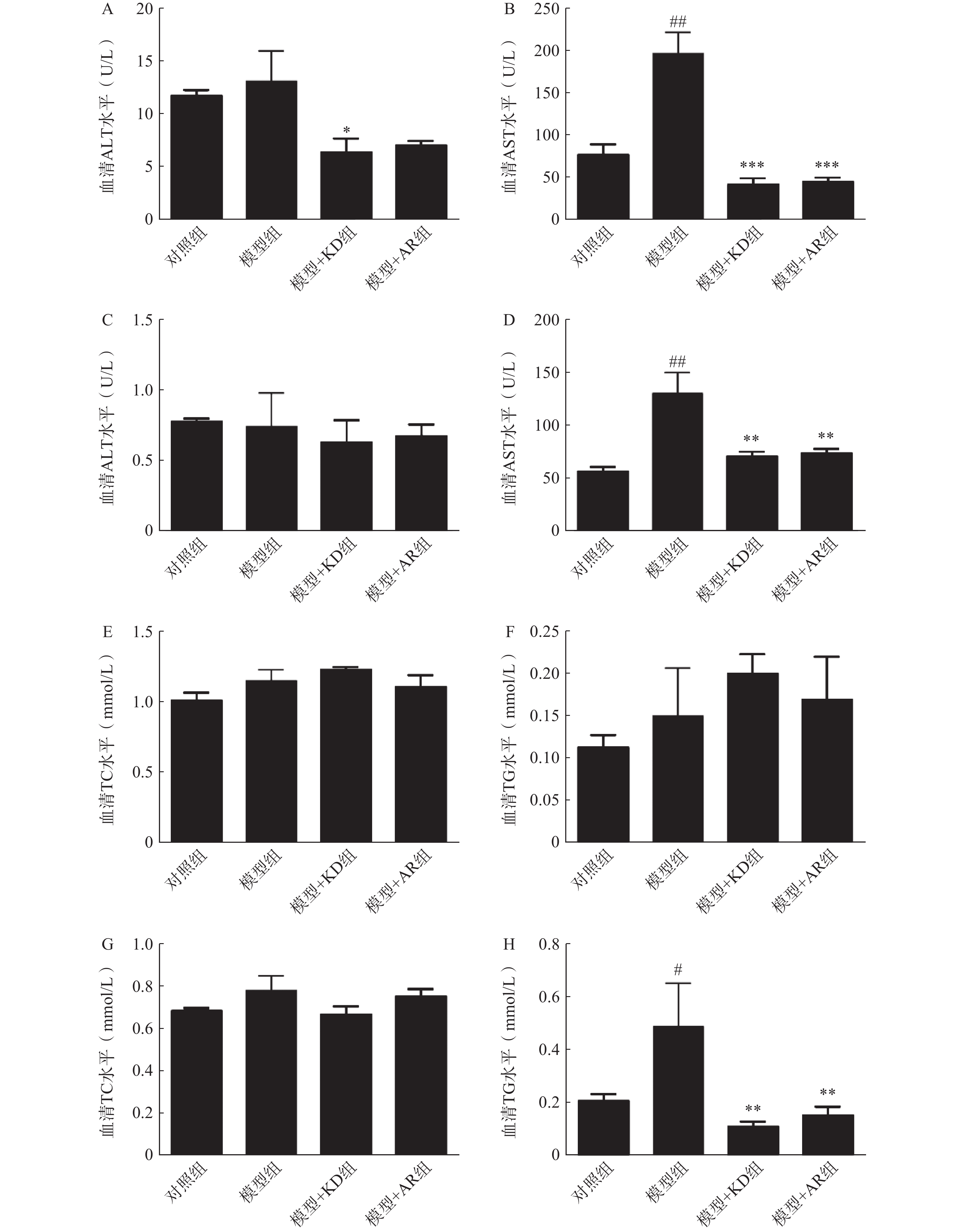
目的 观察血通胶囊对高血脂模型动物的血脂、肝脏损伤的保护作用。 方法 ICR小鼠60只,随机分为6组,一组给于正常饲料,其余各组利用高脂饲料制备高血脂模型,造模4周后,3组灌胃给予低、中、高剂量血通胶囊(0.5、1.0和2.0 g/kg),阳性药物阿托伐他汀钙灌胃给药(剂量为1.5 mg/kg),模型组给予溶媒(0.5%羧甲基纤维素钠)。连续治疗8周,随后测定动物体重、脏器指数、血脂、血糖、肝功能指标,肝脏油红染色测定脂滴含量,利用定量PCR检测炎性因子TNF-α、IL-6和IL-1β表达水平。 结果 高脂造模显著增加小鼠体重,增加肝脏、脾脏绝对重量和脏器指数,加重肝脏油红染色程度,血清血糖以及甘油三酯(TG)、胆固醇(CHOL)、低密度脂蛋白胆固醇(LDL-C)水平显著增加。与模型组比较,低、中、高剂量组TG水平与模型组均无显著差异。3个组剂量依赖性地降低模型小鼠CHOL,中、高剂量组有统计学差异。LDL-C结果类似,中、高剂量组LDL-C水平显著降低(中剂量组0.55±0.21 mM;高剂量组0.52±0.22 mM 与模型组0.81±0.29 mM,P<0.01)。与正常对照比较,高脂造模与各给药组HDL-C水平无显著差异。肝脏功能显示,血通胶囊显著地降低肝脏油红染色程度,降低高脂引起的谷丙转氨酶(ALT)升高。阿托伐他汀钙显著降低高脂模型动物体重,减轻肝脏和脾脏绝对重量和脏器指数,同时降低血清CHOL、LDL-C以及TG,减少ALT水平,减轻肝脏油红染色程度。进一步的研究显示,血通胶囊高剂量可显著降低高脂引起的TNF-α和IL-6表达(P<0.05),一定程度降低IL-1β水平,但统计学无显著性差异(P>0.05)。 结论 血通胶囊显著降低高脂动物体重,减轻肝脏增大、脂肪沉积和炎性损伤,显著地降低血脂CHOL、LDL-C水平,减少转氨酶升高。以上作用可能与血通胶囊减少肝脏TNF-α、IL-6等炎性因子表达有关。
当前状态:
, 最新更新时间:
doi: 10.12206/j.issn.2097-2024.202409045
摘要:
目的 探讨激活α7烟碱乙酰胆碱受体(α7nAChR)对氯化钙(CaCl2)诱导的小鼠腹主动脉瘤(AAA)损伤的影响。 方法 采用CaCl2诱导野生型(WT)小鼠及α7nAChR敲除(α7nAChR−/-)小鼠形成AAA模型。通过HE染色、EVG染色及IHC染色评估敲除α7nAChR对CaCl2诱导的小鼠AAA组织学损伤及炎症因子表达的影响。以TNF-α刺激大鼠来源原代血管平滑肌细胞(VSMC)模拟AAA炎症微环境,采用Western-Blot检测PNU-282987 激活α7nAChR后其炎症相关蛋白表达的变化。 结果 CaCl2处理后,模型组小鼠主动脉扩张明显且腹主动脉结构被破坏,敲除α7nAChR使损伤进一步加重,并且显著上调AAA小鼠炎症相关蛋白的表达。体外实验结果表明TNF-α刺激VSMC后增加炎症相关蛋白表达,而激活α7nAChR可阻断这一现象。 结论 激活α7nAChR可能通过抑制炎症应答减轻CaCl2诱导的小鼠AAA损伤。
当前状态:
, 最新更新时间:
doi: 10.12206/j.issn.2097-2024.202406047
摘要:
目的 探讨预防紫衫类制剂超敏反应可行的简化预处理方案。 方法 使用电子病历系统查询2021年6月1日至2024年6月30日期间该院消化内科一病区初次接受紫杉醇脂质体治疗的49例晚期胃癌患者的数据,包括预处理方案、过敏情况及其他不良反应。 结果 31例预处理方案为前12 h和前6 h口服地塞米松9 mg+口服氯雷他定10 mg+口服雷尼替丁150 mg;18例为前12 h和前6 h口服地塞米松9 mg+口服氯雷他定10 mg。所有患者均未出现过敏反应。两种简化方案的其他不良反应发生率无显著差异(P>0.05)。 结论 根据文献资料和实践,针对紫杉类制剂提出口服糖皮质激素(GC)联合口服H1受体阻滞剂(H1RA)的二联简化预处理方案,为临床医生提供新思路。但其有效性尚需进一步临床研究进行验证。
当前状态:
, 最新更新时间:
doi: 10.12206/j.issn.2097-2024.20240380
摘要:
为阐明生命意义感与抑郁症状之间的因果关系,探讨生命意义感的演变模式及其对抑郁症状检出率的影响,研究采用生命意义感问卷与抑郁症状筛查问卷对896名某高校大学生进行了间隔12个月2轮次的纵向调查。结果发现:(1)T1生命意义感可负向预测T2抑郁症状,而T1抑郁症状并不能显著预测T2生命意义感。(2)高校大学生生命意义感由T1到T2的演变模式可分为4类:持续低意义组、意义提升组、意义降低组和高意义稳定组,其抑郁症状检出率分别为13.00%、5.00%、12.00%、4.00%。(3)生命意义感演变模式对抑郁症状检出率存在显著影响。与高意义稳定组相比,持续低意义组和意义降低组的抑郁症状检出率显著较高。结果提示高校心理健康教育应重点关注持续低意义与意义降低群体,提高生命意义感是减少大学生抑郁症状检出率的有效干预途径。
为阐明生命意义感与抑郁症状之间的因果关系,探讨生命意义感的演变模式及其对抑郁症状检出率的影响,研究采用生命意义感问卷与抑郁症状筛查问卷对896名某高校大学生进行了间隔12个月2轮次的纵向调查。结果发现:(1)T1生命意义感可负向预测T2抑郁症状,而T1抑郁症状并不能显著预测T2生命意义感。(2)高校大学生生命意义感由T1到T2的演变模式可分为4类:持续低意义组、意义提升组、意义降低组和高意义稳定组,其抑郁症状检出率分别为13.00%、5.00%、12.00%、4.00%。(3)生命意义感演变模式对抑郁症状检出率存在显著影响。与高意义稳定组相比,持续低意义组和意义降低组的抑郁症状检出率显著较高。结果提示高校心理健康教育应重点关注持续低意义与意义降低群体,提高生命意义感是减少大学生抑郁症状检出率的有效干预途径。
当前状态:
, 最新更新时间:
doi: 10.12206/j.issn.2097-2024.202503005
摘要:
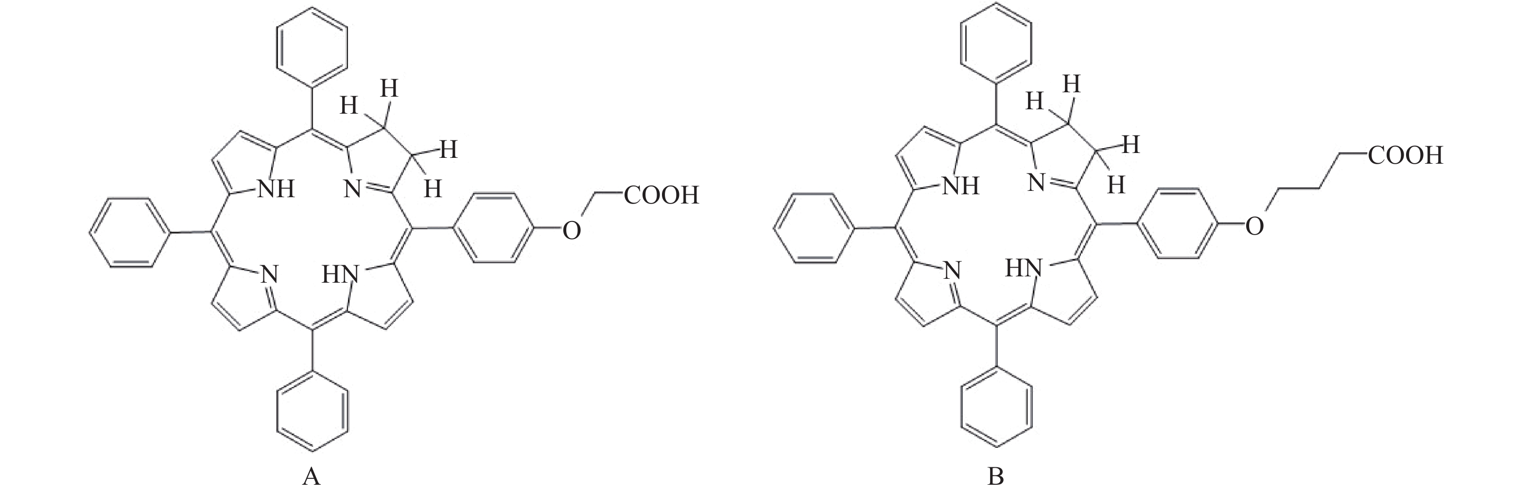
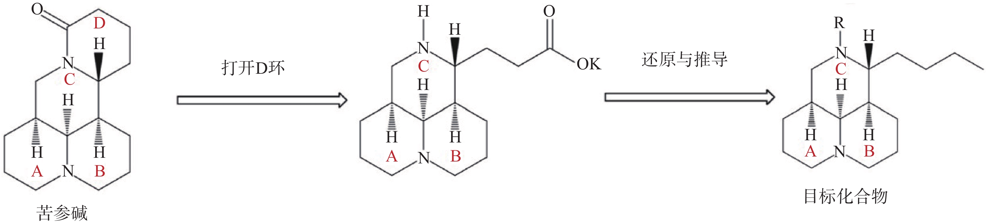
目的 中药苦参中含有的苦参类生物碱具有良好的抗炎活性,本研究通过对苦参碱进行结构修饰,探讨新型苦参碱衍生物的结构与抗炎活性之间的构效关系。 方法 以苦参碱为先导化合物,通过化学修饰得到14个新型苦参碱衍生物。以苦参碱和 M19 为阳性对照,采用细胞计数试剂盒-8(CCK-8)法检测苦参碱衍生物对RAW264.7细胞的细胞毒性,使用一氧化氮(NO)检测试剂盒检测苦参碱衍生物对脂多糖(LPS)诱导的RAW264.7细胞炎症模型NO生成的抑制作用,并采用酶联免疫吸附试验(ELISA)检测苦参碱衍生物对LPS诱导的RAW264.7细胞炎症模型中白细胞介素-6(IL-6)和肿瘤坏死因子-α(TNF-α)分泌的影响。 结果 与 M19 相比,所有新型苦参碱衍生物均表现出较低的细胞毒性;在NO抑制方面,所有衍生物的活性均优于苦参碱,部分衍生物活性甚至超过 M19 ,其中化合物 A12 显示出最优的NO抑制率;化合物 A11 和 A12 的IL-6抑制活性优于对照 M19 ;在TNF-α抑制方面,化合物 A12 同样表现出最优异的活性。 结论 化合物 A12 在抑制NO、IL-6和TNF-α释放方面表现出最强的活性,具有最佳的抗炎效果,为后续深入研究提供了重要的先导化合物。
当前状态:
, 最新更新时间:
doi: 10.新时j.issn.2097-2024.202406029
摘要:
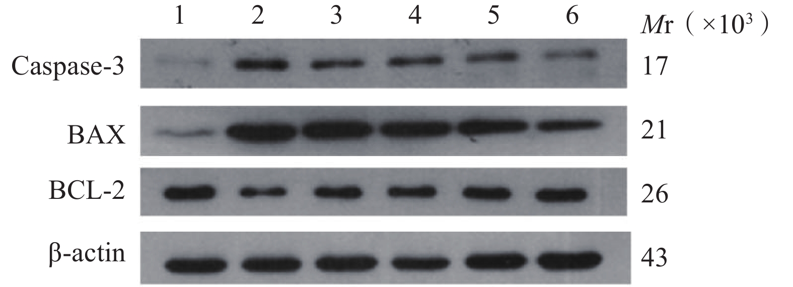
目的 考察三种基源的中药狼毒(瑞香狼毒Stellera chamaejasme L.、狼毒大戟Euphorbia fischeriana Steud.和甘肃大戟Euphorbia kansuensis Prokh.)乙醇提取物外用对咪喹莫特(Imiquimod,IMQ)诱导的银屑病小鼠的防治作用。 方法 将36只BALB/c 雄性小鼠随机分为空白组、模型组、瑞香狼毒组、狼毒大戟组、甘肃大戟组和卡泊三醇组,每组 6 只,通过PASI 评分记录各组小鼠的皮损变化,HE染色观察皮肤组织病理形态并测量表皮厚度,免疫组化检测小鼠皮损组织中细胞核抗原 Ki67 的表达情况。 结果 与模型组相比,三种狼毒乙醇提取物均能降低银屑病样小鼠PASI评分,抑制表皮异常增厚,减少表皮 Ki67异常表达,其中瑞香狼毒的治疗效果最为显著,且优于临床常用药卡泊三醇。 结论 瑞香狼毒乙醇提取物具有较好的抗银屑病活性作用,可抑制角质形成细胞异常增殖,减少皮损组织Ki67表达,显著改善银屑病样皮损。
当期目录More>
2026, 44(3): 113-119.
doi: 10.12206/j.issn.2097-2024.202409017
摘要:
经皮给药具有安全、便利和依从性高等特点。然而皮肤结构复杂且个体差异大,特别是角质层的阻隔导致皮肤外用制剂的生物利用度普遍不高。皮肤外用制剂处方组成复杂,质量影响因素较多,需严格控制产品质量。拉曼光谱作为一种非破坏性的振动光谱,结合化学计量学方法、成像技术和其他光谱技术,可以用于表征皮肤外用制剂的关键质量属性研究。本文综述拉曼光谱在皮肤外用制剂的晶型、粒度分布、辅料以及体外透皮实验等研究中的应用。在体外透皮试验中,着重探讨拉曼光谱用于选择实验用皮肤样本、研究药物在皮肤中的空间分布及药物与皮肤相互作用等。
经皮给药具有安全、便利和依从性高等特点。然而皮肤结构复杂且个体差异大,特别是角质层的阻隔导致皮肤外用制剂的生物利用度普遍不高。皮肤外用制剂处方组成复杂,质量影响因素较多,需严格控制产品质量。拉曼光谱作为一种非破坏性的振动光谱,结合化学计量学方法、成像技术和其他光谱技术,可以用于表征皮肤外用制剂的关键质量属性研究。本文综述拉曼光谱在皮肤外用制剂的晶型、粒度分布、辅料以及体外透皮实验等研究中的应用。在体外透皮试验中,着重探讨拉曼光谱用于选择实验用皮肤样本、研究药物在皮肤中的空间分布及药物与皮肤相互作用等。
2026, 44(3): 120-125, 131.
doi: 10.12206/j.issn.2097-2024.202505004
摘要:
肥胖已成为全球性的重大健康挑战。中药复方基于辨证论治对单纯性肥胖患者进行治疗,具有临床疗效好、安全性高的优势,中药复方可通过调控丝裂原活化蛋白激酶(mitogen activated proteinkinase,MAPK)、腺苷酸活化蛋白激酶(adenosine5′-monophosphate-activated protein kinase,AMPK)、Janus激酶/信号转导及转录活化因子(Janus kinase/signal transducer and activator of transcription,JAK/STAT)、磷脂酰肌醇-3-激酶/蛋白激酶B/哺乳动物雷帕霉素靶蛋白(phosphoinositide 3-kinase/protein kinase B/mammalian target of rapamycin,PI3K/Akt/mTOR)、核转录因子-κB(nuclear factor-κB,NF-κB)、过氧化物酶体增殖物激活受体γ/维甲酸X受体(peroxisome proliferator-activated receptor gamma/retinoid X receptor α,PPARγ/RXRα)、干扰素基因刺激因子/转录因子干扰素调节因子3(stimulator of interferon genes/interferon regulatory factor 3,STING/IRF3)等相关信号通路发挥改善炎症、改善氧化应激、调节胰岛素抵抗等作用,具有多组分、多途径、多靶点调控的特点。本文综述中药复方调控相关信号通路治疗单纯性肥胖方面的研究进展,以期为临床实践提供理论基础和研究思路。
肥胖已成为全球性的重大健康挑战。中药复方基于辨证论治对单纯性肥胖患者进行治疗,具有临床疗效好、安全性高的优势,中药复方可通过调控丝裂原活化蛋白激酶(mitogen activated proteinkinase,MAPK)、腺苷酸活化蛋白激酶(adenosine5′-monophosphate-activated protein kinase,AMPK)、Janus激酶/信号转导及转录活化因子(Janus kinase/signal transducer and activator of transcription,JAK/STAT)、磷脂酰肌醇-3-激酶/蛋白激酶B/哺乳动物雷帕霉素靶蛋白(phosphoinositide 3-kinase/protein kinase B/mammalian target of rapamycin,PI3K/Akt/mTOR)、核转录因子-κB(nuclear factor-κB,NF-κB)、过氧化物酶体增殖物激活受体γ/维甲酸X受体(peroxisome proliferator-activated receptor gamma/retinoid X receptor α,PPARγ/RXRα)、干扰素基因刺激因子/转录因子干扰素调节因子3(stimulator of interferon genes/interferon regulatory factor 3,STING/IRF3)等相关信号通路发挥改善炎症、改善氧化应激、调节胰岛素抵抗等作用,具有多组分、多途径、多靶点调控的特点。本文综述中药复方调控相关信号通路治疗单纯性肥胖方面的研究进展,以期为临床实践提供理论基础和研究思路。
2026, 44(3): 126-131.
doi: 10.12206/j.issn.2097-2024.202510011
摘要:
目的 Orosomucoid1(ORM1)是抗疲劳药物研发新靶标,前期研究提示橄榄苦苷(oleuropein,OLE)是上调ORM1表达的潜在候选分子。本研究将进一步确定橄榄苦苷对ORM1蛋白表达的促进作用,评估其对肌肉耐力的影响。 方法 采用蛋白免疫印迹检测橄榄苦苷对肝细胞和肝组织中ORM1蛋白表达的影响;采用转棒实验、负重游泳实验,评估橄榄苦苷对肌肉耐力的影响;采用试剂盒检测肝脏和肌肉组织中的糖原含量;采用PAS染色观察腓肠肌糖原沉积;采用ELISA试剂盒检测血清ORM1蛋白表达。 结果 橄榄苦苷以时间和剂量依赖的方式增加肝细胞ORM1蛋白表达,同时也以时间和剂量依赖的方式提高小鼠强迫游泳和转棒时间,升高肝组织ORM1表达,增加血清中ORM1含量,并提升肝脏和肌肉组织中的糖原含量。 结论 橄榄苦苷可能通过增加体内ORM1的表达水平,提升骨骼肌糖原储备,从而增强肌肉耐力。
2026, 44(3): 132-136, 166.
doi: 10.12206/j.issn.2097-2024.202511030
摘要:
目的 构建载葡萄糖氧化酶(glucose oxidase, GOx)的纳米凝胶(GONGs)并优化处方,考察GONGs对胶质瘤细胞Warburg效应的抑制效果。 方法 合成响应性聚合物(HAM),自组装制备GONGs并进行表征,荧光分光光度法测定GONGs的包封率和载药量,考察细胞毒性和溶血性,Western blot考察GONGs对胶质瘤细胞Warburg效应的抑制及氧化损伤作用。 结果 以1∶10的投药比制备GONGs,粒径140.3 nm、Zeta 电位−27.2 mV。GONGs相比GOx, hUVEC细胞IC50由2.150 nmol/L提高至74.86 nmol/L,显著减少溶血。GOx浓度为2.0 nmol/L的GONGs能有效抑制胶质瘤细胞糖酵解相关蛋白己糖激酶2(HK2)和L-乳酸脱氢酶(LDHA)的表达,同时抑制谷氨酰胺代谢。 结论 GONGs具有GOx的高载药率,显著减小了GOx细胞毒性,对胶质瘤细胞Warburg效应有显著抑制作用,并能诱导氧化损伤。
2026, 44(3): 137-143.
doi: 10.12206/j.issn.2097-2024.202407001
摘要:
目的 优选对萼猕猴桃苷E的提取分离纯化工艺。 方法 以对萼猕猴桃苷E的含量为指标,采用单因素考察结合正交试验确定对萼猕猴桃苷E的最佳提取工艺;通过优化大孔吸附树脂柱、硅胶柱和ODS柱的色谱条件,对提取物进行分离纯化。 结果 对萼猕猴桃苷E的最佳提取工艺为:以25倍量的55%乙醇95℃加热回流1 h。优化的分离纯化工艺为:D101型大孔树脂柱以50%乙醇洗脱7 BV;硅胶柱以乙酸乙酯-乙醇10∶1洗脱5 BV;ODS柱重复纯化50%甲醇洗脱部分,最终得到对萼猕猴桃苷E单体化合物。整个工艺中,对萼猕猴桃苷E的转移率为53.70%,得率为0.35%,纯度达99.9%。 结论 该工艺稳定可行,可为对萼猕猴桃苷E的开发利用提供物质基础。
2026, 44(3): 144-151.
doi: 10.12206/j.issn.2097-2024.202311018
摘要:
目的 探讨桑麻杏贝汤治疗慢性阻塞性肺疾病急性加重期(acute exacerbation of chronic obstructive pulmonary disease,AECOPD)的机制。 方法 检索中药系统药理学数据库与分析平台(TCMSP)、TCMID数据库中桑麻杏贝汤的活性成分,利用SwissTargetPrediction数据库预测活性成分的靶点,利用GeneCards、OMIM数据库检索AECOPD相关靶点;构建药物-活性成分-靶点网络和蛋白相互作用网络,利用DAVID数据库进行GO富集和KEGG通路富集分析,通过AutoDock Tools软件进行分子对接,通过动物实验进行验证。 结果 得到桑麻杏贝汤活性成分192个,预测1 066个靶点,网络分析表明,桑麻杏贝汤排名前3位的活性成分为槲皮素、山柰酚、光甘草定,治疗靶点前3位的是肿瘤坏死因子(tumor necrosis factor,TNF)、白蛋白(albumin,ALB)和白细胞介素-1β( interleukin-1β,IL-1β)。GO与KEGG分析表明,主要通路为癌症通路、丝裂原活化蛋白激酶(mitogen-activated protein kinase,MAPK)信号通路、磷脂酰肌醇3-激酶-蛋白激酶B信号通路(phosphatidylinositol 3-kinase-protein kinase B,PI3K-Akt)信号通路。分子对接结果显示,光甘草定与苏氨酸蛋白激酶(threonine-protein kinase,AKT1)、白细胞介素-1β、表皮生长因子受体(epidermal growth factor receptor,EGFR)以及肉瘤相关激酶(sarcoma,SRC)均具有良好的结合活性,结合能均低于−5 kcal·mol。此外,槲皮素和山柰酚亦与IL-1β表现出较强的结合能力,结合能同样低于−5 kcal·mol。动物实验证明,桑麻杏贝汤可通过抗炎、减少肺组织结构变化治疗AECOPD,并可降低TNF-α、IL-6、IL-8血清炎症水平。 结论 桑麻杏贝汤可能作用于AKT1、IL-1β、EGFR、SRC等靶点,通过调控PI3K/Akt信号通路、MAPK信号通路、癌症通路等作用途径减少TNF-α、IL-6、IL-8血清炎症水平,改善肺组织结构与炎症反应,实现对AECOPD的治疗作用。
2026, 44(3): 152-159.
doi: 10.12206/j.issn.2097-2024.202312076
摘要:
目的 比较和分析肺癌治疗药物在国家启动医保谈判前后的使用变化情况,研究一系列政策对肺癌用药的影响。 方法 运用描述性统计方法,分析北京大学人民医院2014−2020年肺癌患者的基本情况和治疗药物的变化趋势,并结合全国医药信息网中肺癌治疗药物的医院采购数据进行综合分析。 结果 2014−2020年肺癌患者人均总费用整体呈现先上升后下降趋势,在国家药品医保谈判前不断增长,谈判后逐步降低。2017年之后,血管内皮生长因子/血管内皮生长因子受体(VEGF/VEGFR)抑制剂和表皮生长因子受体(EGFR)酪氨酸激酶抑制剂等解剖学、治疗学及化学分类系统(ATC)小类用量明显增加,单克隆抗体品种数也在增多。奥希替尼、安罗替尼、阿来替尼、克唑替尼等医保目录药品的用药频度(DDDs)上升趋势明显,日均费用明显降低。 结论 近年来,肺癌患者住院天数持续缩短,用药结构发生显著变化。国家医保目录的调整使更多的肺癌创新药呈现“量升价降”趋势。
2026, 44(3): 160-166.
doi: 10.12206/j.issn.2097-2024.202404031
摘要:
目的 挖掘儿童使用大环内酯类药物(阿奇霉素、克拉霉素与红霉素)的不良事件(adverse event,AE)信号,为临床安全用药提供参考。 方法 从美国FDA不良事件报告系统(FAERS)数据库中提取2004年第1季度至2023年第2季度12岁以下儿童数据,采用报告比值比法(reporting odds ratio,ROR)和贝叶斯置信区间递进神经网络法(Bayesian confidence propagation neural network,BCPNN)对3种大环内酯类药物进行AE信号挖掘,重点分析对比3种药物的AE差异。 结果 FAERS数据库共检索到12岁以下opag的报告1 615份,其中,阿奇霉素1 024份、克拉霉素460份、红霉素131份。阿奇霉素、红霉素中男生报告数多于女生,克拉霉素女生报告数多于男生。在已知给药途径中,三者均是口服给药报告数最多。在报告的AE结局中,阿奇霉素和克拉霉素以其他严重AE为主,红霉素则是以住院和其他严重AE为主。三者AE报告数随年龄增长呈下降趋势,0~3岁报告数较多。经ROR法和BCPNN法信号检测,阿奇霉素风险信号86个,克拉霉素风险信号91个,红霉素风险信号34个。信号累及22个系统器官分类(system organ class,SOC);阿奇霉素主要集中在皮肤及皮下组织类疾病(n=21);克拉霉素主要集中在胃肠系统疾病(n=15);红霉素主要集中在胃肠系统疾病(n=8)。检测到中强及以上风险信号24个,阿奇霉素13个、克拉霉素9个、红霉素2个。 结论 3种药物所致AE不同,不同系统风险性不同。临床治疗儿童肺炎支原体肺炎等应考虑药物在不同系统的风险性,进行个体化给药。
过刊浏览
- 2026 2期 1期
- 2025 12期 11期 10期 9期 8期 7期 6期 5期 4期 3期 2期 1期
- 2024 12期 11期 10期 9期 8期 7期 6期 5期 4期 3期 2期 1期
- 2023 12期 11期 10期 9期 8期 7期 6期 5期 4期 3期 2期 1期
- 2022 6期 5期 3期 2期 1期
- 2021 6期 5期 4期 3期 2期 1期
- 2020 6期 5期 4期 3期 2期 1期
- 2019 6期 5期 4期 3期 2期 1期
- 2018 6期 5期 4期 3期 2期 1期
- 2017 6期 5期 4期 3期 2期 1期
- 2016 6期 5期 4期 3期 2期 1期
- 2015 6期 5期 4期 3期 2期 1期
- 2014 6期 5期 4期 3期 2期 1期
- 2013 6期 5期 4期 3期 2期 1期
- 2012 6期 5期 4期 3期 2期 1期
- 2011 6期 5期 4期 3期 2期 1期
- 2010 6期 5期 4期 3期 2期 1期
- 2009 6期 5期 4期 3期 2期 1期
- 2008 6期 5期 4期 3期 2期 1期
- 2007 6期 5期 4期 3期 2期 1期
- 2006 6期 5期 4期 3期 2期 1期
- 2005 6期 5期 4期 3期 2期 1期
- 2004 6期 5期 4期 3期 2期 1期
- 2003 6期 5期 4期 3期 2期 1期
- 2002 6期 5期 4期 3期 2期 1期
- 2001 6期 5期 4期 3期 2期 1期
- 2000 6期 5期 4期 3期 2期 1期
- 1999 6期 5期 4期 3期 2期 1期
- 1998 6期 5期 4期 3期 2期 1期
- 1997 6期 5期 4期 3期 2期 1期
- 1996 6期 5期 4期 3期 2期 1期
- 1995 6期 5期 4期 3期 2期 1期
- 1994 4期 3期 2期 1期
- 1993 4期 3期 2期 1期
- 1992 4期 3期 2期 1期
- 1991 4期 3期 2期 1期
- 1990 4期 3期 2期 1期
- 1989 4期 3期 2期 1期
- 1988 4期 3期 2期 1期
- 1987 4期 3期 2期 1期
- 1986 4期 3期 2期 1期
- 1985 4期 3期 2期 1期
- 1984 4期 3期 2期 1期
- 1983 3期 2期 1期
点击排行
下载排行
扫一扫关注微信公众号
投审稿系统
作者登录
审稿登录
编辑登录
读者登录



重要通知
友情链接