当期目录
2026年 第46卷 第3期
2026,
44(3):
113-119. doi: 10.12206/j.issn.2097-2024.202409017
摘要:
经皮给药具有安全、便利和依从性高等特点。然而皮肤结构复杂且个体差异大,特别是角质层的阻隔导致皮肤外用制剂的生物利用度普遍不高。皮肤外用制剂处方组成复杂,质量影响因素较多,需严格控制产品质量。拉曼光谱作为一种非破坏性的振动光谱,结合化学计量学方法、成像技术和其他光谱技术,可以用于表征皮肤外用制剂的关键质量属性研究。本文综述拉曼光谱在皮肤外用制剂的晶型、粒度分布、辅料以及体外透皮实验等研究中的应用。在体外透皮试验中,着重探讨拉曼光谱用于选择实验用皮肤样本、研究药物在皮肤中的空间分布及药物与皮肤相互作用等。
经皮给药具有安全、便利和依从性高等特点。然而皮肤结构复杂且个体差异大,特别是角质层的阻隔导致皮肤外用制剂的生物利用度普遍不高。皮肤外用制剂处方组成复杂,质量影响因素较多,需严格控制产品质量。拉曼光谱作为一种非破坏性的振动光谱,结合化学计量学方法、成像技术和其他光谱技术,可以用于表征皮肤外用制剂的关键质量属性研究。本文综述拉曼光谱在皮肤外用制剂的晶型、粒度分布、辅料以及体外透皮实验等研究中的应用。在体外透皮试验中,着重探讨拉曼光谱用于选择实验用皮肤样本、研究药物在皮肤中的空间分布及药物与皮肤相互作用等。
2026,
44(3):
120-125, 131. doi: 10.12206/j.issn.2097-2024.202505004
摘要:
肥胖已成为全球性的重大健康挑战。中药复方基于辨证论治对单纯性肥胖患者进行治疗,具有临床疗效好、安全性高的优势,中药复方可通过调控丝裂原活化蛋白激酶(mitogen activated proteinkinase,MAPK)、腺苷酸活化蛋白激酶(adenosine5′-monophosphate-activated protein kinase,AMPK)、Janus激酶/信号转导及转录活化因子(Janus kinase/signal transducer and activator of transcription,JAK/STAT)、磷脂酰肌醇-3-激酶/蛋白激酶B/哺乳动物雷帕霉素靶蛋白(phosphoinositide 3-kinase/protein kinase B/mammalian target of rapamycin,PI3K/Akt/mTOR)、核转录因子-κB(nuclear factor-κB,NF-κB)、过氧化物酶体增殖物激活受体γ/维甲酸X受体(peroxisome proliferator-activated receptor gamma/retinoid X receptor α,PPARγ/RXRα)、干扰素基因刺激因子/转录因子干扰素调节因子3(stimulator of interferon genes/interferon regulatory factor 3,STING/IRF3)等相关信号通路发挥改善炎症、改善氧化应激、调节胰岛素抵抗等作用,具有多组分、多途径、多靶点调控的特点。本文综述中药复方调控相关信号通路治疗单纯性肥胖方面的研究进展,以期为临床实践提供理论基础和研究思路。
肥胖已成为全球性的重大健康挑战。中药复方基于辨证论治对单纯性肥胖患者进行治疗,具有临床疗效好、安全性高的优势,中药复方可通过调控丝裂原活化蛋白激酶(mitogen activated proteinkinase,MAPK)、腺苷酸活化蛋白激酶(adenosine5′-monophosphate-activated protein kinase,AMPK)、Janus激酶/信号转导及转录活化因子(Janus kinase/signal transducer and activator of transcription,JAK/STAT)、磷脂酰肌醇-3-激酶/蛋白激酶B/哺乳动物雷帕霉素靶蛋白(phosphoinositide 3-kinase/protein kinase B/mammalian target of rapamycin,PI3K/Akt/mTOR)、核转录因子-κB(nuclear factor-κB,NF-κB)、过氧化物酶体增殖物激活受体γ/维甲酸X受体(peroxisome proliferator-activated receptor gamma/retinoid X receptor α,PPARγ/RXRα)、干扰素基因刺激因子/转录因子干扰素调节因子3(stimulator of interferon genes/interferon regulatory factor 3,STING/IRF3)等相关信号通路发挥改善炎症、改善氧化应激、调节胰岛素抵抗等作用,具有多组分、多途径、多靶点调控的特点。本文综述中药复方调控相关信号通路治疗单纯性肥胖方面的研究进展,以期为临床实践提供理论基础和研究思路。
2026,
44(3):
126-131. doi: 10.12206/j.issn.2097-2024.202510011
摘要:
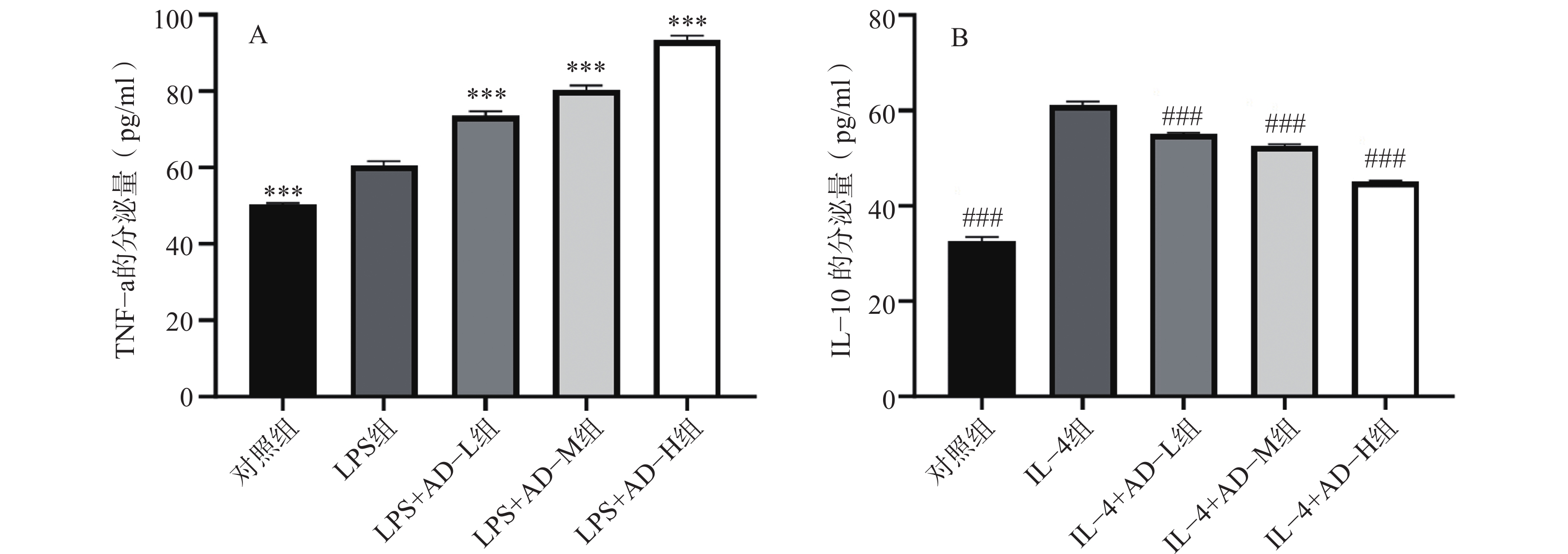
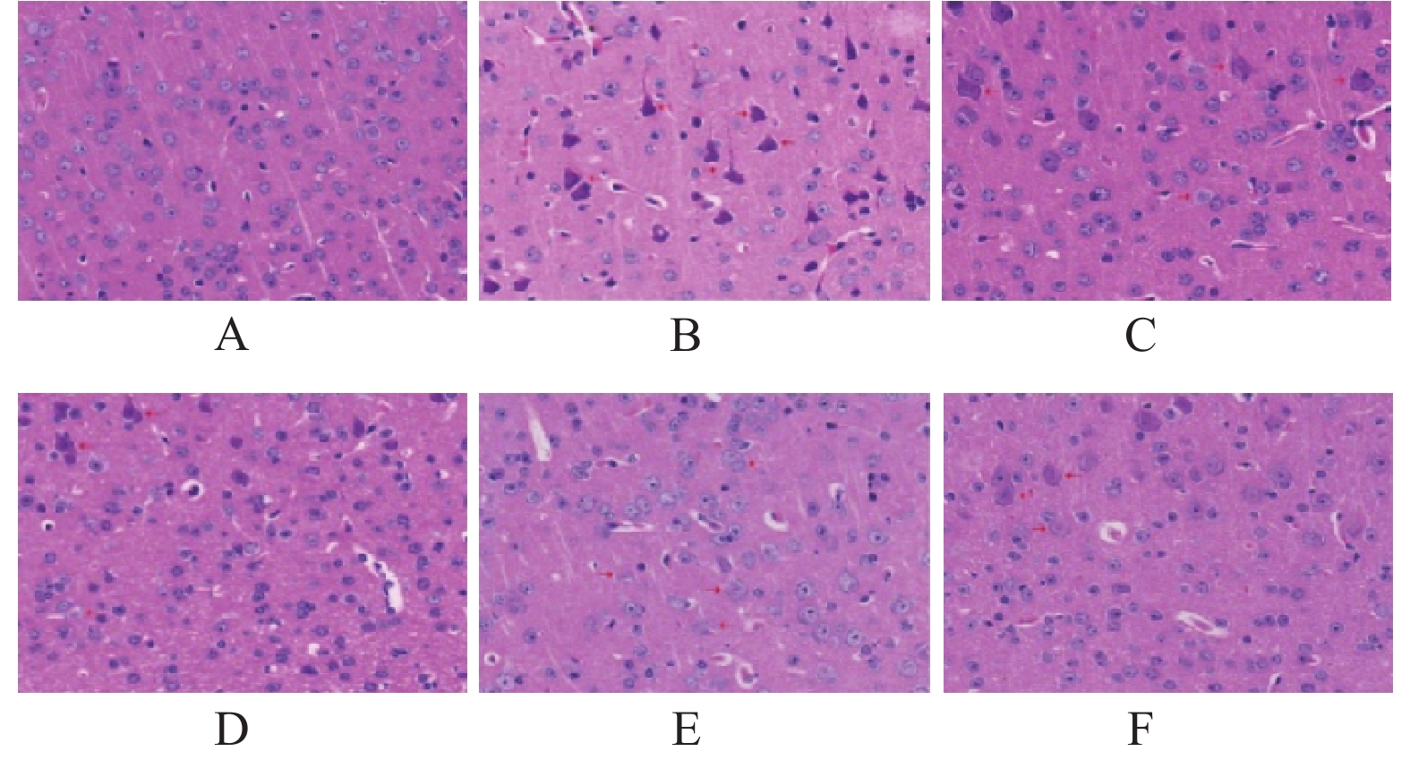
目的 Orosomucoid1(ORM1)是抗疲劳药物研发新靶标,前期研究提示橄榄苦苷(oleuropein,OLE)是上调ORM1表达的潜在候选分子。本研究将进一步确定橄榄苦苷对ORM1蛋白表达的促进作用,评估其对肌肉耐力的影响。 方法 采用蛋白免疫印迹检测橄榄苦苷对肝细胞和肝组织中ORM1蛋白表达的影响;采用转棒实验、负重游泳实验,评估橄榄苦苷对肌肉耐力的影响;采用试剂盒检测肝脏和肌肉组织中的糖原含量;采用PAS染色观察腓肠肌糖原沉积;采用ELISA试剂盒检测血清ORM1蛋白表达。 结果 橄榄苦苷以时间和剂量依赖的方式增加肝细胞ORM1蛋白表达,同时也以时间和剂量依赖的方式提高小鼠强迫游泳和转棒时间,升高肝组织ORM1表达,增加血清中ORM1含量,并提升肝脏和肌肉组织中的糖原含量。 结论 橄榄苦苷可能通过增加体内ORM1的表达水平,提升骨骼肌糖原储备,从而增强肌肉耐力。
2026,
44(3):
132-136, 166. doi: 10.12206/j.issn.2097-2024.202511030
摘要:
目的 构建载葡萄糖氧化酶(glucose oxidase, GOx)的纳米凝胶(GONGs)并优化处方,考察GONGs对胶质瘤细胞Warburg效应的抑制效果。 方法 合成响应性聚合物(HAM),自组装制备GONGs并进行表征,荧光分光光度法测定GONGs的包封率和载药量,考察细胞毒性和溶血性,Western blot考察GONGs对胶质瘤细胞Warburg效应的抑制及氧化损伤作用。 结果 以1∶10的投药比制备GONGs,粒径140.3 nm、Zeta 电位−27.2 mV。GONGs相比GOx, hUVEC细胞IC50由2.150 nmol/L提高至74.86 nmol/L,显著减少溶血。GOx浓度为2.0 nmol/L的GONGs能有效抑制胶质瘤细胞糖酵解相关蛋白己糖激酶2(HK2)和L-乳酸脱氢酶(LDHA)的表达,同时抑制谷氨酰胺代谢。 结论 GONGs具有GOx的高载药率,显著减小了GOx细胞毒性,对胶质瘤细胞Warburg效应有显著抑制作用,并能诱导氧化损伤。
2026,
44(3):
137-143. doi: 10.12206/j.issn.2097-2024.202407001
摘要:
目的 优选对萼猕猴桃苷E的提取分离纯化工艺。 方法 以对萼猕猴桃苷E的含量为指标,采用单因素考察结合正交试验确定对萼猕猴桃苷E的最佳提取工艺;通过优化大孔吸附树脂柱、硅胶柱和ODS柱的色谱条件,对提取物进行分离纯化。 结果 对萼猕猴桃苷E的最佳提取工艺为:以25倍量的55%乙醇95℃加热回流1 h。优化的分离纯化工艺为:D101型大孔树脂柱以50%乙醇洗脱7 BV;硅胶柱以乙酸乙酯-乙醇10∶1洗脱5 BV;ODS柱重复纯化50%甲醇洗脱部分,最终得到对萼猕猴桃苷E单体化合物。整个工艺中,对萼猕猴桃苷E的转移率为53.70%,得率为0.35%,纯度达99.9%。 结论 该工艺稳定可行,可为对萼猕猴桃苷E的开发利用提供物质基础。
2026,
44(3):
144-151. doi: 10.12206/j.issn.2097-2024.202311018
摘要:
目的 探讨桑麻杏贝汤治疗慢性阻塞性肺疾病急性加重期(acute exacerbation of chronic obstructive pulmonary disease,AECOPD)的机制。 方法 检索中药系统药理学数据库与分析平台(TCMSP)、TCMID数据库中桑麻杏贝汤的活性成分,利用SwissTargetPrediction数据库预测活性成分的靶点,利用GeneCards、OMIM数据库检索AECOPD相关靶点;构建药物-活性成分-靶点网络和蛋白相互作用网络,利用DAVID数据库进行GO富集和KEGG通路富集分析,通过AutoDock Tools软件进行分子对接,通过动物实验进行验证。 结果 得到桑麻杏贝汤活性成分192个,预测1 066个靶点,网络分析表明,桑麻杏贝汤排名前3位的活性成分为槲皮素、山柰酚、光甘草定,治疗靶点前3位的是肿瘤坏死因子(tumor necrosis factor,TNF)、白蛋白(albumin,ALB)和白细胞介素-1β( interleukin-1β,IL-1β)。GO与KEGG分析表明,主要通路为癌症通路、丝裂原活化蛋白激酶(mitogen-activated protein kinase,MAPK)信号通路、磷脂酰肌醇3-激酶-蛋白激酶B信号通路(phosphatidylinositol 3-kinase-protein kinase B,PI3K-Akt)信号通路。分子对接结果显示,光甘草定与苏氨酸蛋白激酶(threonine-protein kinase,AKT1)、白细胞介素-1β、表皮生长因子受体(epidermal growth factor receptor,EGFR)以及肉瘤相关激酶(sarcoma,SRC)均具有良好的结合活性,结合能均低于−5 kcal·mol。此外,槲皮素和山柰酚亦与IL-1β表现出较强的结合能力,结合能同样低于−5 kcal·mol。动物实验证明,桑麻杏贝汤可通过抗炎、减少肺组织结构变化治疗AECOPD,并可降低TNF-α、IL-6、IL-8血清炎症水平。 结论 桑麻杏贝汤可能作用于AKT1、IL-1β、EGFR、SRC等靶点,通过调控PI3K/Akt信号通路、MAPK信号通路、癌症通路等作用途径减少TNF-α、IL-6、IL-8血清炎症水平,改善肺组织结构与炎症反应,实现对AECOPD的治疗作用。
2026,
44(3):
152-159. doi: 10.12206/j.issn.2097-2024.202312076
摘要:
目的 比较和分析肺癌治疗药物在国家启动医保谈判前后的使用变化情况,研究一系列政策对肺癌用药的影响。 方法 运用描述性统计方法,分析北京大学人民医院2014−2020年肺癌患者的基本情况和治疗药物的变化趋势,并结合全国医药信息网中肺癌治疗药物的医院采购数据进行综合分析。 结果 2014−2020年肺癌患者人均总费用整体呈现先上升后下降趋势,在国家药品医保谈判前不断增长,谈判后逐步降低。2017年之后,血管内皮生长因子/血管内皮生长因子受体(VEGF/VEGFR)抑制剂和表皮生长因子受体(EGFR)酪氨酸激酶抑制剂等解剖学、治疗学及化学分类系统(ATC)小类用量明显增加,单克隆抗体品种数也在增多。奥希替尼、安罗替尼、阿来替尼、克唑替尼等医保目录药品的用药频度(DDDs)上升趋势明显,日均费用明显降低。 结论 近年来,肺癌患者住院天数持续缩短,用药结构发生显著变化。国家医保目录的调整使更多的肺癌创新药呈现“量升价降”趋势。
2026,
44(3):
160-166. doi: 10.12206/j.issn.2097-2024.202404031
摘要:
目的 挖掘儿童使用大环内酯类药物(阿奇霉素、克拉霉素与红霉素)的不良事件(adverse event,AE)信号,为临床安全用药提供参考。 方法 从美国FDA不良事件报告系统(FAERS)数据库中提取2004年第1季度至2023年第2季度12岁以下儿童数据,采用报告比值比法(reporting odds ratio,ROR)和贝叶斯置信区间递进神经网络法(Bayesian confidence propagation neural network,BCPNN)对3种大环内酯类药物进行AE信号挖掘,重点分析对比3种药物的AE差异。 结果 FAERS数据库共检索到12岁以下儿童的报告1 615份,其中,阿奇霉素1 024份、克拉霉素460份、红霉素131份。阿奇霉素、红霉素中男生报告数多于女生,克拉霉素女生报告数多于男生。在已知给药途径中,三者均是口服给药报告数最多。在报告的AE结局中,阿奇霉素和克拉霉素以其他严重AE为主,红霉素则是以住院和其他严重AE为主。三者AE报告数随年龄增长呈下降趋势,0~3岁报告数较多。经ROR法和BCPNN法信号检测,阿奇霉素风险信号86个,克拉霉素风险信号91个,红霉素风险信号34个。信号累及22个系统器官分类(system organ class,SOC);阿奇霉素主要集中在皮肤及皮下组织类疾病(n=21);克拉霉素主要集中在胃肠系统疾病(n=15);红霉素主要集中在胃肠系统疾病(n=8)。检测到中强及以上风险信号24个,阿奇霉素13个、克拉霉素9个、红霉素2个。 结论 3种药物所致AE不同,不同系统风险性不同。临床治疗儿童肺炎支原体肺炎等应考虑药物在不同系统的风险性,进行个体化给药。
投审稿系统
作者登录
审稿登录
编辑登录
读者登录



学术新闻