2025年 第45卷 第8期
2025, 43(8): 367-372.
doi: 10.12206/j.issn.2097-2024.202308064
摘要:
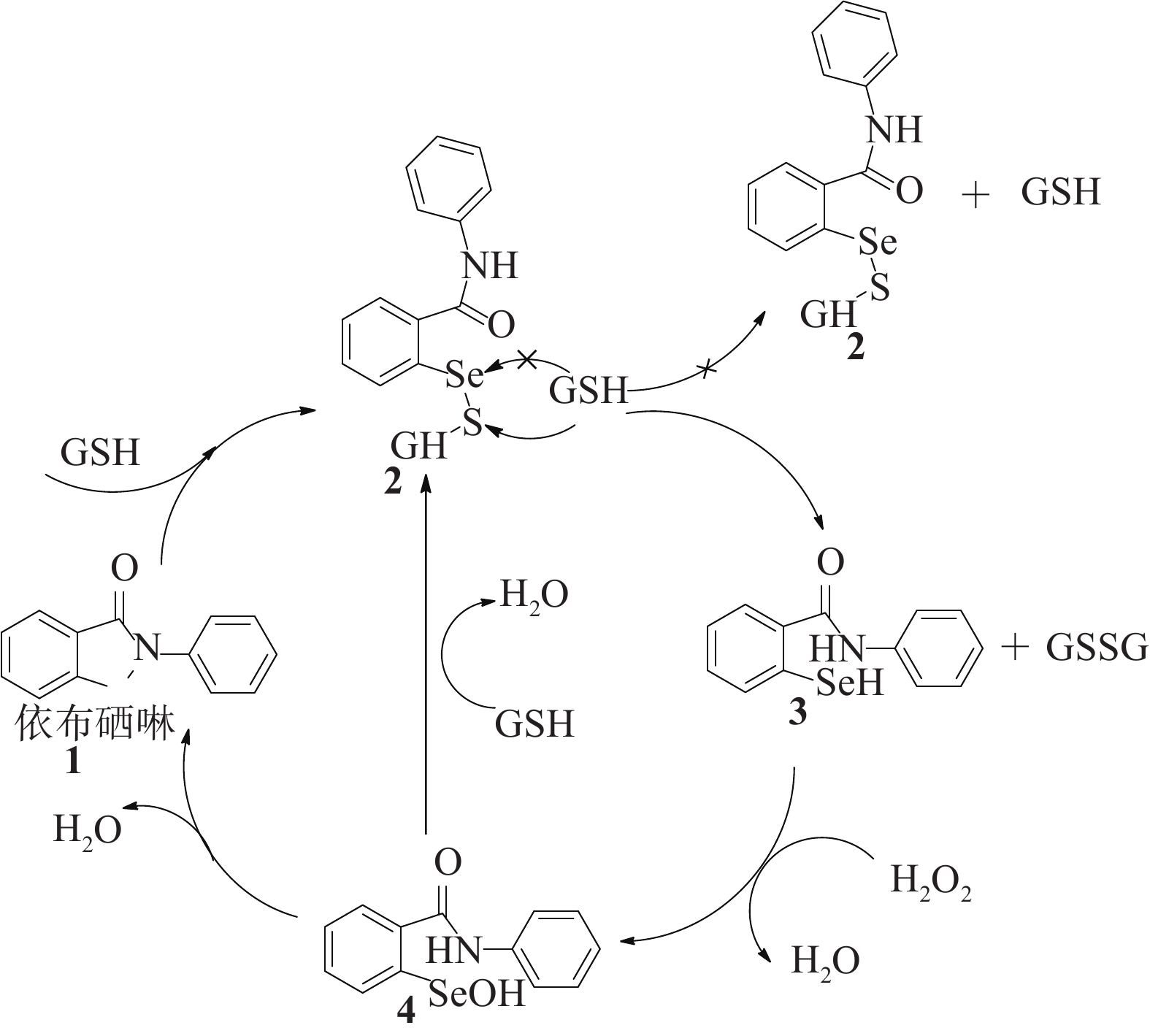
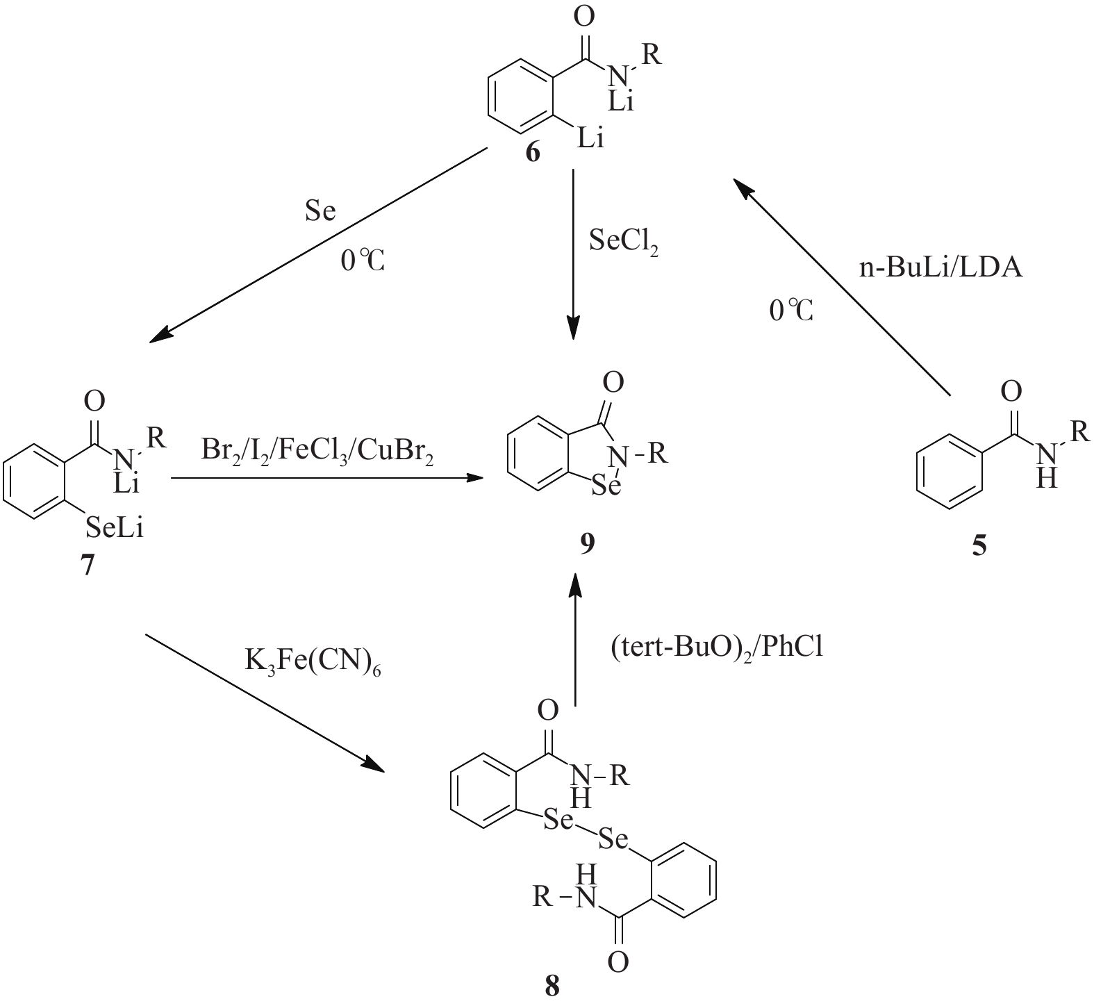
谷胱甘肽过氧化物酶(GSH-Px)是一种关键的硒酶,可以保护机体免受氧化损伤。研究者设计并合成了一系列小分子有机硒化合物作为GPx的功能模拟物,其中,异硒唑酮类化合物研究最为广泛。以该类化合物依布硒啉(ebselen)为代表,总结和讨论异硒唑酮类化合物在体内模拟GSH-Px活性的催化机制,以及它在脑卒中、感音神经性耳聋和耳鸣、难治性抑郁症(TRD)和新型冠状病毒(COVID-19)等相关疾病中的治疗作用,并综述其化学合成方法。
谷胱甘肽过氧化物酶(GSH-Px)是一种关键的硒酶,可以保护机体免受氧化损伤。研究者设计并合成了一系列小分子有机硒化合物作为GPx的功能模拟物,其中,异硒唑酮类化合物研究最为广泛。以该类化合物依布硒啉(ebselen)为代表,总结和讨论异硒唑酮类化合物在体内模拟GSH-Px活性的催化机制,以及它在脑卒中、感音神经性耳聋和耳鸣、难治性抑郁症(TRD)和新型冠状病毒(COVID-19)等相关疾病中的治疗作用,并综述其化学合成方法。
2025, 43(8): 373-376, 409.
doi: 10.12206/j.issn.2097-2024.202403014
摘要:
中成药组方成分多样,理化和生物学特性复杂,使其在微生物限度检查中微生物计数法的前处理(供试液制备)受到许多因素的干扰,最终影响检验结果的重复性和准确性。优化中成药微生物计数法前处理工作对提高微生物检验的准确性及保障非无菌制剂的安全性和有效性有实际应用意义。该文对中成药前处理目前涉及的关键影响因素和优化方法进行系统分析和综述。
中成药组方成分多样,理化和生物学特性复杂,使其在微生物限度检查中微生物计数法的前处理(供试液制备)受到许多因素的干扰,最终影响检验结果的重复性和准确性。优化中成药微生物计数法前处理工作对提高微生物检验的准确性及保障非无菌制剂的安全性和有效性有实际应用意义。该文对中成药前处理目前涉及的关键影响因素和优化方法进行系统分析和综述。
2025, 43(8): 377-382, 399.
doi: 10.12206/j.issn.2097-2024.202307014
摘要:
目的 运用网络药理学和分子对接技术探讨制痂酊治疗Ⅱ度烧伤的作用机制。 方法 从中药系统药理学数据库与分析平台(TCMSP)、GeneCards数据库和OMIM数据库筛选制痂酊的有效成分及烧伤的相关靶点;通过Cytoscape软件绘制相关靶点图以及疾病网络;用Metascape平台进行潜在靶点进行基因功能(GO)富集分析和基因百科全书(KEGG)通路分析;用AutoDockTools进行分子对接。 结果 筛出有效成分19个,靶点交集179个。主要涉及无机物质反应、细胞对氮化合物反应以及对外来异种刺激的响应,膜筏、囊泡腔和内质网腔等生物学过程。包括AGE-RAGE、PI3K-Akt、IL-17及TNF信号通路等。核心靶点为AKT1、TNF、IL-6、甘油醛-3-磷酸脱氢酶(GAPDH)、TP53等。制痂酊活性成分与多个靶点对接,其中β-谷甾醇与AKT1、GAPDH、TP53有强烈的结合活性。 结论 制痂酊中槲皮素、山柰酚、汉黄芩素、β-谷甾醇等核心活性成分可能通过作用于AKT1、GAPDH、TP53、IL-6等靶点,调控AGE-RAGE、PI3K-Akt、IL-17、TNF等信号通路,辅助缓解烧伤。本研究为明确制痂酊治疗烧伤类疾病作用机制奠定了理论基础。
2025, 43(8): 383-389.
doi: 10.12206/j.issn.2097-2024.202504013
摘要:
目的 使用Meta分析评价中药外治法治疗湿疹引起的皮肤瘙痒症的临床疗效。 方法 通过检索国内的中国知网、维普、万方数据、Sinomed和国外的Pubmed、Embase、Lilacs、Cochrane等文献数据库,搜索中药外治法治疗湿疹引起的皮肤瘙痒的随机临床试验。检索时间为各数据库建库至2024年12月,由2名评价员分别筛选录入统计学数据,使用Cochrane系统评价手册5.1.0进行偏倚风险评估,应用RevMan5.4.1进行Meta分析。 结果 最终纳入14篇文献,共计1 788例患者。与对照组相比,中药外治法(治疗组)对瘙痒评分改善效果更佳(Z=11.88,P<0.000 01)、对湿疹面积和严重程度指数(EASI)评分改善效果更佳(Z=23.15,P<0.000 01)、其临床总有效率更高(Z=6.21,P<0.000 01)、对中医症状的改善效果更佳(Z=5.49,P<0.000 01)、其临床复发率更低(Z=2.88,P=0.004),纳入文献中有3篇提及不良反应,治疗组的不良反应低于对照组。 结论 中药外治法治疗湿疹引起的皮肤瘙痒效果优于对照组。由于纳入的文献存在偏倚及异质性,此结论还需更多大样本、多中心、随机、对照、双盲研究加以论证。
2025, 43(8): 390-394.
doi: 10.12206/j.issn.2097-2024.202312068
摘要:
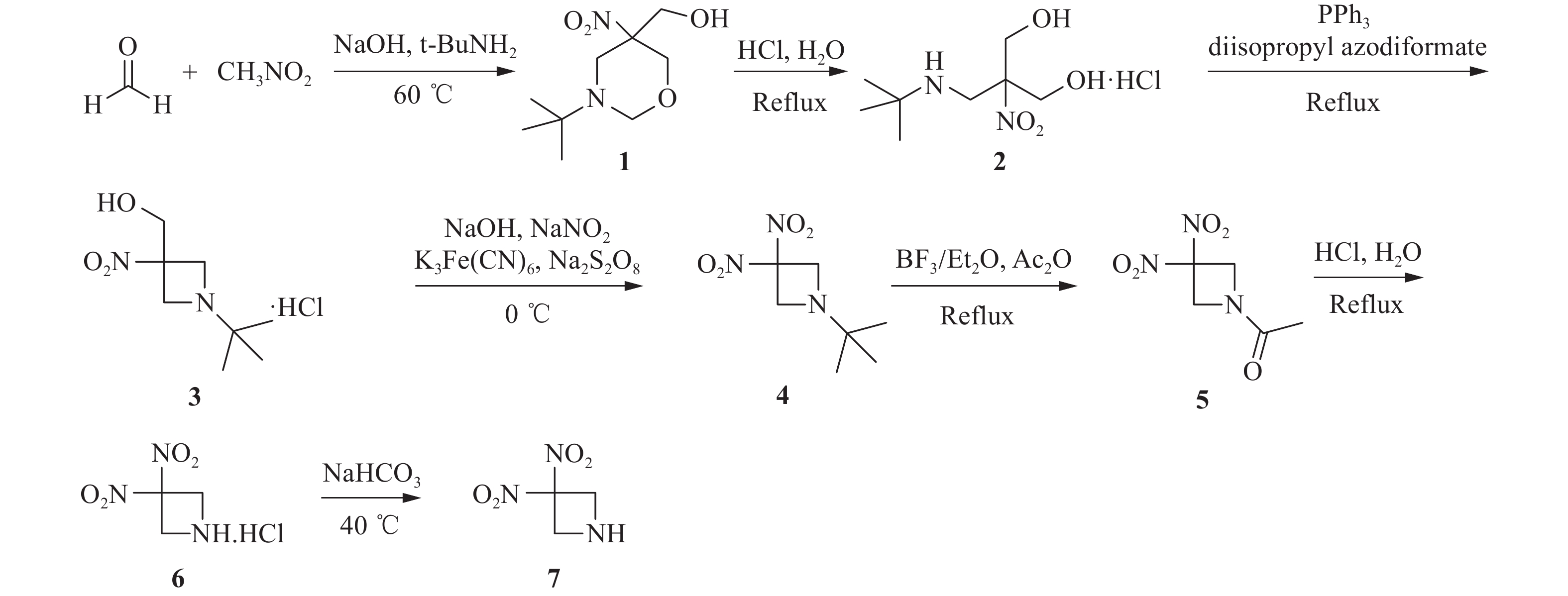
目的 建立超高效液相色谱串联质谱法(UPLC-MS/MS)同时测定复方地黄合剂中小檗碱、黄柏碱、特女贞苷、芒果苷、莫诺苷、马钱苷、芍药苷、栀子苷、黄芩苷和毛蕊花糖苷10种成分的含量。 方法 采用UPLC-MS/MS法,色谱柱为ACQUITY UPLC BEH-C18(2.1 mm×100 mm,1.7 μm),流动相为0.1%甲酸水(A)-甲醇(B),梯度洗脱,流速为0.2 ml/min,柱温30℃,进样量2 μl。采用多反应离子检测模式(MRM)。 结果 复方地黄合剂中10种成分在各自浓度范围内线性关系良好,精密度、重复性、稳定性和加样回收率结果均符合要求;7批次样品中小檗碱、黄柏碱、特女贞苷、芒果苷、莫诺苷、马钱苷、芍药苷、栀子苷、黄芩苷和毛蕊花糖苷的含量分别为(89.7~95.6) μg/ml、(164.0~177.7) μg/ml、(540.0~610.0) μg/ml、(408.7~429.0) μg/ml、(726.0~825.0) μg/ml、(503.7~572.0) μg/ml、(1380.0 ~1540.0) μg/ml、(2596.7 ~2896.7) μg/ml、(4866.7 ~5520.0) μg/ml、(61.8~67.2) μg/ml。 结论 该方法重复性好、操作简便,可快速准确地测定复方地黄合剂中10种成分的含量,并为其质量控制提供参考。
2025, 43(8): 395-399.
doi: 10.12206/j.issn.2097-2024.202307059
摘要:
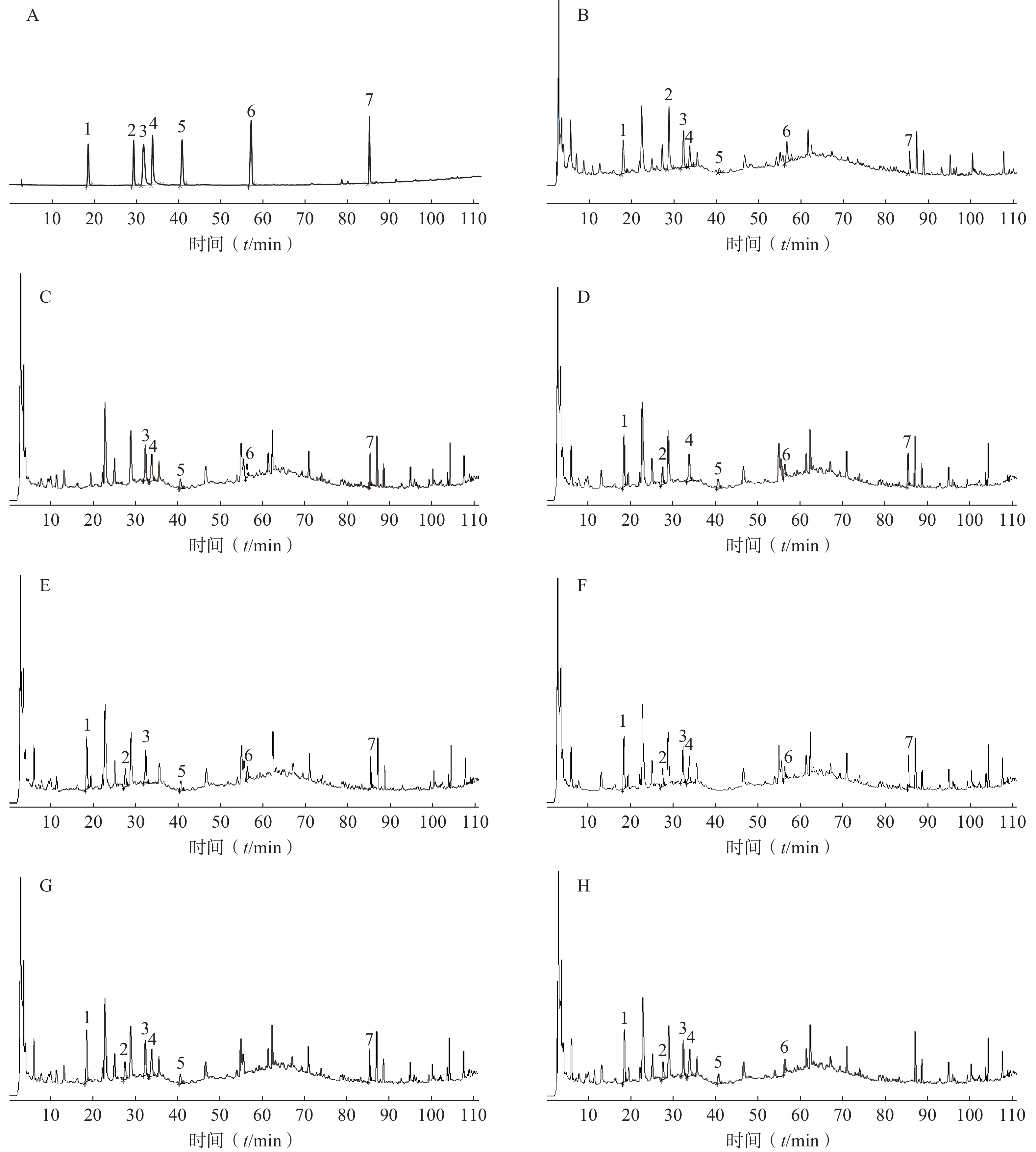
目的 建立麝香接骨胶囊的特征图谱,并测定麝香接骨胶囊中7种指标性成分(羟基红花黄色素A、芍药苷、阿魏酸、柚皮苷、藁本内酯、儿茶素、表儿茶素)的含量。 方法 以十八烷基硅烷键合硅胶为填充剂;以甲醇-0.05%磷酸溶液为流动相,梯度洗脱,检测波长245 nm,流速1.0 ml/min,柱温:30℃。采用《中药色谱指纹图谱相似度评价系统(2012)版》进行相似度评价,并测定7种指标性成分的含量。 结果 建立了麝香接骨胶囊的HPLC特征图谱,15批样品与对照指纹图谱的相似度在0.893~0.992之间。15批样品的7种指标性成分的含量测定方法学考察结果均符合要求。 结论 该研究建立的麝香接骨胶囊特征图谱专属性强,含量测定方法学重复性好,为其质量控制提供科学的依据。
2025, 43(8): 400-403.
doi: 10.12206/j.issn.2097-2024.202408053
摘要:
目的 研究引入共价结合片段后的RRx-001衍生物的抗肿瘤活性。 方法 设计合成了4个目标化合物,其结构通过1H NMR和HRMS等确证;选择人肺癌细胞株A549和人结肠癌细胞株HCT116进行体外抗肿瘤活性测试。 结果 所有化合物均显示出一定的抗肿瘤活性,其中化合物 ZM528 活性最高,对两种肿瘤细胞株的IC50值分别为(5.1±4.8) μmol/L和(6.0±2.7) μmol/L。 结论 以新的共价结合片段代替RRx-001的溴代乙酰基后可保持抗肿瘤活性。
投审稿系统
作者登录
审稿登录
编辑登录
读者登录



重要通知