-
麝香接骨胶囊由赤芍、续断、没药(炒)、红花、当归、骨碎补(烫)、血竭、川芎、儿茶、桂枝、乳香(炙)、自然铜(煅)、苏木和人工麝香等共22味药材组成,具有散瘀止痛,续筋接骨的功效[1]。现行标准年久未修订,已无法全面真实判断产品质量优劣。且目前文献中均没有对麝香接骨胶囊的质量进行整体、全面的评估[2-5]。
本研究依据《中华人民共和国药典》2020年版一部,按照君臣佐使的配伍原则,选取对指标性成分有明确含量要求的(赤芍、川芎、当归、红花、骨碎补、儿茶)6味药材[6]中7种成分,采用HPLC法开展麝香接骨胶囊特征图谱的系统研究,并测定含量,为麝香接骨胶囊的质量标准提高提供科学的依据。
-
高效液相色谱仪(岛津LC-20AT);电子天平(精度:十万分之一,Sartorius Q-Stat)。
-
对照品:儿茶素(110877-202005,95.1%)、表儿茶素(110878-201703,99.7%,置五氧化二磷干燥器中减压干燥12 h后使用)、羟基红花黄色素A(111637-201810,93.1%)、芍药苷(110736-202145)、阿魏酸(110773-201313,99.6%,置五氧化二磷干燥器中减压干燥12 h后使用)、柚皮苷(110722-202116,93.5%)(购自中国食品药品检定研究院);藁本内酯(2254739,97.8%,购自上海安谱璀世标准技术服务有限公司);甲醇、磷酸均为色谱纯;水为超纯水。
样品:麝香接骨胶囊,企业A至O(批号依次为:105210504、20210807、211205、20211201、210301、20210801、20211001、20210701、20210901、211201、20210806、211001、2105001、20211002、20210502)来源于2022年国家评价性抽验样品。
-
色谱柱资生堂SPOLAR C18(4.6 mm×250 mm,5 μm);流动相A:甲醇,流动相B:0.05%磷酸溶液;梯度洗脱:0~20 min,A相10%→20%;20~29 min,A相20%→25%;29~30 min,A相25%→26%;30~35 min,A相26%→26%;35~50 min,A相26%→35%;50~75 min,A相35%→60%;75~105 min,A相60%→90%;流速:1 ml/min;检测波长:245 nm,进样体积:10 µl;柱温:30℃。
-
分别精密称定羟基红花黄色素A、儿茶素、表儿茶素、芍药苷、柚皮苷、藁本内酯、阿魏酸对照品适量,加甲醇配制成浓度分别为0.452、1.245、1.306、1.166、0.145、0.288、0.038 mg/ml的混合对照品溶液。
-
取本品内容物约2 g,精密称定,置具塞锥形瓶中,精密加入3%磷酸-甲醇溶液25 ml,密塞,称定重量,超声30 min(功率250 W,频率40 kHz),放冷,再称定重量,用3%磷酸-甲醇溶液补足减失的重量,摇匀,滤过,取续滤液,即得。
-
按处方量依“2.3”项下方法分别配制缺上述六味药材的溶液,作为阴性对照溶液。
-
取企业O(批号:20210502)内容物2 g,按“2.3”项下条件配制1份供试品溶液,按“2.1”项下色谱条件连续进样6次,计算主要色谱峰与参比峰表儿茶素(儿茶质量控制标准的主要成分之一,其含量高且稳定性良好,选择其为参照物)的相对保留时间和相对峰面积的RSD值。结果表明,样品溶液各色谱峰相对保留时间RSD值和相对峰面积的RSD值均<2%,说明仪器精密度良好。
-
取企业O(批号:20210502)内容物2 g,按“2.3”项下条件配制6份供试品溶液,进样分析。结果表明,样品溶液各色谱峰相对保留时间RSD值和相对峰面积的RSD值均<2%。
-
取企业O(批号:20210502)内容物2 g,按“2.3”项下条件配制供试品溶液1份,分别于0、6、8、12、24 h连续进样6次。结果表明,样品溶液各色谱峰相对保留时间RSD值和相对峰面积的RSD值均<2%,说明供试品溶液在24 h内稳定。
-
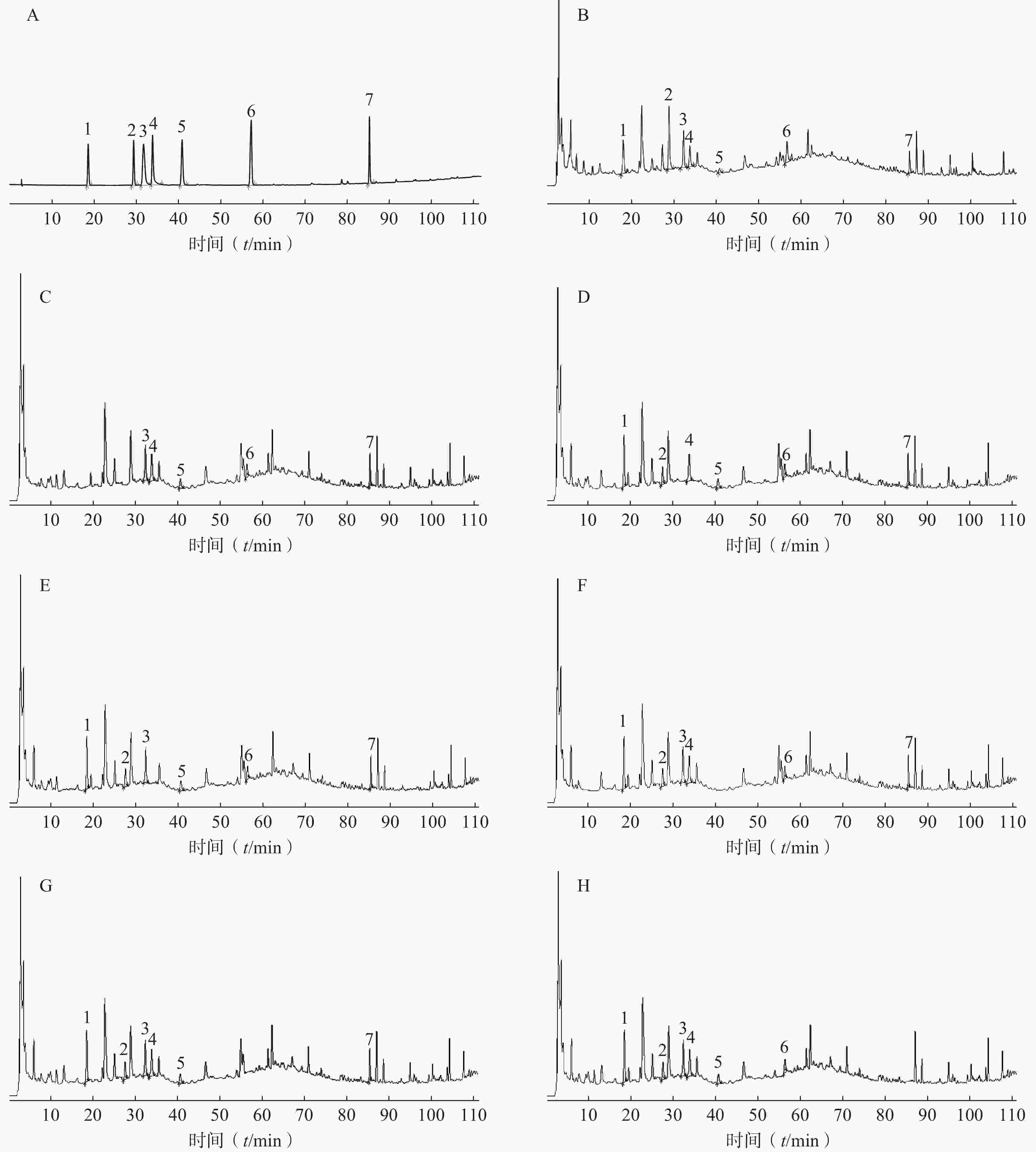
7种指标性成分混合对照品溶液、阴性对照溶液及供试品溶液色谱图见图1。
-
取15家企业麝香接骨胶囊,制备供试品溶液,记录色谱图,进行相似度分析,15家企业S1~S15的HPLC特征图谱及对照指纹图谱R,见图2。结果显示,15家企业样品与对照指纹图谱相似度在0.893~0.992之间,结果见表1。
表 1 相似度评价结果
样品号 S1 S2 S3 S4 S5 S6 S7 S8 S9 S10 S11 S12 S13 S14 S15 对照指纹图谱 S1 1.000 0.779 0.894 0.921 0.807 0.850 0.832 0.852 0.921 0.837 0.885 0.731 0.736 0.893 0.886 0.893 S2 0.779 1.000 0.882 0.930 0.985 0.910 0.902 0.967 0.930 0.966 0.918 0.941 0.970 0.909 0.857 0.960 S3 0.894 0.882 1.000 0.963 0.847 0.956 0.959 0.870 0.984 0.895 0.995 0.825 0.833 0.991 0.998 0.964 S4 0.921 0.930 0.963 1.000 0.930 0.945 0.928 0.930 0.986 0.955 0.973 0.862 0.878 0.974 0.953 0.982 S5 0.807 0.985 0.847 0.930 1.000 0.899 0.879 0.980 0.916 0.982 0.889 0.950 0.961 0.889 0.818 0.953 S6 0.850 0.910 0.956 0.945 0.899 1.000 0.996 0.923 0.972 0.954 0.975 0.925 0.887 0.982 0.945 0.978 S7 0.832 0.902 0.959 0.928 0.879 0.996 1.000 0.911 0.967 0.933 0.976 0.917 0.888 0.979 0.949 0.971 S8 0.852 0.967 0.870 0.930 0.980 0.923 0.911 1.000 0.940 0.966 0.908 0.944 0.966 0.906 0.842 0.965 S9 0.921 0.930 0.984 0.986 0.916 0.972 0.967 0.94 1.000 0.946 0.993 0.881 0.894 0.991 0.974 0.992 S10 0.837 0.966 0.895 0.955 0.982 0.954 0.933 0.966 0.946 1.000 0.931 0.965 0.939 0.939 0.873 0.977 S11 0.885 0.918 0.995 0.973 0.889 0.975 0.976 0.908 0.993 0.931 1.000 0.875 0.880 0.998 0.989 0.984 S12 0.731 0.941 0.825 0.862 0.950 0.925 0.917 0.944 0.881 0.965 0.875 1.000 0.957 0.883 0.798 0.931 S13 0.736 0.970 0.833 0.878 0.961 0.887 0.888 0.966 0.894 0.939 0.880 0.957 1.000 0.872 0.805 0.932 S14 0.893 0.909 0.991 0.974 0.889 0.982 0.979 0.906 0.991 0.939 0.998 0.883 0.872 1.000 0.986 0.984 S15 0.886 0.857 0.998 0.953 0.818 0.945 0.949 0.842 0.974 0.873 0.989 0.798 0.805 0.986 1.000 0.949 对照指纹图谱 0.893 0.960 0.964 0.982 0.953 0.978 0.971 0.965 0.992 0.977 0.984 0.931 0.932 0.984 0.949 1 -
将“2.2”项下的混合对照品分别稀释0、3、6、12、24倍,按“2.1”项下色谱条件分析。以各成分的浓度(mg/ml)为横坐标(X),以峰面积为纵坐标(Y),绘制标准曲线。结果见表2。
表 2 各成分的线性方程、线性范围及相关系数
组分 线性方程 r 线性范围
(mg/ml)儿茶素 Y=3 090 363.74 X+ 8960.24 0.999 9 0.051 9~1.245 表儿茶素 Y=2 858 399.91 X+28 094.09 0.999 8 0.054 4~1.306 羟基红花黄色素A Y=8 489 620.24 X+9 092.68 0.999 9 0.018 8~0.452 芍药苷 Y=411 248.67 X–2 288.42 0.999 8 0.048 5~1.166 阿魏酸 Y=11 055 569.64 X+1 995.86 0.999 9 0.001 6~0.038 柚皮苷 Y=7 105 084.83 X–4 843.44 0.999 8 0.006 0~0.145 藁本内酯 Y=1 658 740.93 X–3 266.64 0.999 9 0.012 2~0.288 -
取同一对照品溶液,连续进样5次。结果各成分峰峰面积的RSD值均<2%,表明仪器精密度良好。
-
取同一供试品溶液,分别于0、6、8、12、24 h进样分析。结果各主成分峰峰面积的RSD值均<2%,说明供试品溶液在24 h内稳定。
-
取企业O(批号:20210502)内容物2 g,平行制备供试品溶液6份,测定其含量。结果:儿茶素、表儿茶素、羟基红花黄色素A、芍药苷、阿魏酸、柚皮苷、藁本内酯的平均含量分别为3.63、3.76、0.94、7.49、0.17、0.10、1.96 mg/g,RSD 分别为1.9%、1.3%、2.0%、1.8%、2.5%、1.8%、2.2%,表明方法重复性较好。
-
精密称定企业O(批号:20210502)内容物1 g,精密加入混合对照品溶液2 ml,平行制备6份,进样分析,分别计算各成分的回收率。结果:儿茶素、表儿茶素、羟基红花黄色素A、芍药苷、阿魏酸、柚皮苷、藁本内酯的平均回收率分别为101.2%、99.8%、98.8%、95.4%、94.8%、98.6%、97.5%,RSD 分别为1.9%、1.8%、1.7%、2.5%、2.1%、1.9%、1.3%,表明方法准确度较好。
-
取样品(S1~S15),平行制备供试品溶液各2份,进样分析,测定其含量。结果见表3。
表 3 15批麝香接骨胶囊中7种成分含量测定结果(mg/g,n=2)
编号 儿茶素 表儿茶素 羟基红花黄色素A 芍药苷 阿魏酸 柚皮苷 藁本内酯 S1 6.96 2.66 0.43 2.05 0.28 0.10 2.59 S2 2.13 4.70 0.97 4.10 0.16 0.20 2.78 S3 6.59 3.13 0.57 5.53 0.27 0.14 2.13 S4 7.24 5.14 0.95 7.04 0.20 0.23 2.15 S5 1.98 4.53 1.03 5.81 0.11 0.19 2.50 S6 6.00 3.58 1.12 6.14 0.29 0.14 2.14 S7 5.94 3.57 1.24 5.08 0.10 0.09 2.12 S8 2.02 4.54 1.31 2.98 0.29 0.21 3.01 S9 6.22 4.64 1.25 3.62 0.28 0.19 2.18 S10 2.39 3.10 1.23 2.62 0.15 0.20 1.78 S11 5.73 3.22 0.49 5.45 0.18 0.10 2.06 S12 2.63 4.25 1.91 5.49 0.17 0.25 2.87 S13 1.09 2.76 0.54 1.26 0.10 0.07 2.08 S14 7.02 4.85 1.36 7.05 0.29 0.18 2.15 S15 3.63 3.76 0.94 7.49 0.17 0.10 1.96 -
中药常用的提取方法有加热回流法和超声提取法,实验中藁本内酯、羟基红花黄色素A不稳定,对热敏感,故采用超声提取法作为提取方式。
-
以麝香接骨胶囊(企业O,批号:20210502)作为考察对象。分别考察了供试品超声20、30、40、60 min后的提取结果。结果显示,30 min后峰面积不再增加,最终选择超声30 min作为提取方法。
-
采用 DAD 检测器对混合对照品溶液、供试品溶液进行全波长扫描,发现在 245 nm 波长下图谱的信息量较多、各峰吸收强度高,故最终选择 245 nm 作为检测波长。
本研究首次建立了麝香接骨胶囊的特征图谱,并测定7种指标性成分的含量。从特征图谱相似度情况分析,15家生产企业指纹图谱与对照指纹图谱相似度在0.893~0.992之间。含量测定方法具有较高的重现性、稳定性,但各厂家之间7种指标性成分含量差异大,也从一定程度上反映出不同厂家使用的药材质量参差不齐,建议厂家严格控制药材质量,以保证成品的安全、有效、稳定。本研究所建的特征图谱及指标性成分的含量测定方法为麝香接骨胶囊质量标准和质量控制提供有力的技术支持。
Study on the characteristic chromatogram of Shexiang Jiegu Capsule and determination of seven components by HPLC
-
摘要:
目的 建立麝香接骨胶囊的特征图谱,并测定麝香接骨胶囊中7种指标性成分(羟基红花黄色素A、芍药苷、阿魏酸、柚皮苷、藁本内酯、儿茶素、表儿茶素)的含量。 方法 以十八烷基硅烷键合硅胶为填充剂;以甲醇-0.05%磷酸溶液为流动相,梯度洗脱,检测波长245 nm,流速1.0 ml/min,柱温:30℃。采用《中药色谱指纹图谱相似度评价系统(2012)版》进行相似度评价,并测定7种指标性成分的含量。 结果 建立了麝香接骨胶囊的HPLC特征图谱,15批样品与对照指纹图谱的相似度在0.893~0.992之间。15批样品的7种指标性成分的含量测定方法学考察结果均符合要求。 结论 该研究建立的麝香接骨胶囊特征图谱专属性强,含量测定方法学重复性好,为其质量控制提供科学的依据。 Abstract:Objective To establish the characteristic atlas of Shexiang Jiegu Capsule and determine the contents of seven active components (hydroxysafflor Yellow A, paeoniflorin, ferulic acid, naringin, ligustilide, catechin, epicatechin). Methods Octadecyl silane bonded silica gel was used as the filling agent, the mobile phase was composed of methanol-0.05% phosphoric acid by gradient elution, the detection wavelength was 245 nm, flow rate was 1.0 ml/min, column temperature was 30℃. The similarity of the fifteen batches of sample was evaluated in line with the TCM Chromatographic Fingerprint (2012 edition), and the contents of seven active components were determined. Results The HPLC fingerprint of Shexiang Jiegu Capsules was established. The similarity of fingerprint between fifteen batches of samples and control fingerprint was between 0.893 and 0.992. The results of methodological investigation for the determination of seven active components in fifteen batches of samples all met the requirements. Conclusion The established characteristic atlas of Shexiang Jiegu Capsules had high specificity and good repeatability, which could provide scientific basis for quality control of Shexiang Jiegu Capsules. -
Key words:
- Shexiang Jiegu Capsules /
- characteristic chromatogram /
- HPLC /
- quality control
-
表 1 相似度评价结果
样品号 S1 S2 S3 S4 S5 S6 S7 S8 S9 S10 S11 S12 S13 S14 S15 对照指纹图谱 S1 1.000 0.779 0.894 0.921 0.807 0.850 0.832 0.852 0.921 0.837 0.885 0.731 0.736 0.893 0.886 0.893 S2 0.779 1.000 0.882 0.930 0.985 0.910 0.902 0.967 0.930 0.966 0.918 0.941 0.970 0.909 0.857 0.960 S3 0.894 0.882 1.000 0.963 0.847 0.956 0.959 0.870 0.984 0.895 0.995 0.825 0.833 0.991 0.998 0.964 S4 0.921 0.930 0.963 1.000 0.930 0.945 0.928 0.930 0.986 0.955 0.973 0.862 0.878 0.974 0.953 0.982 S5 0.807 0.985 0.847 0.930 1.000 0.899 0.879 0.980 0.916 0.982 0.889 0.950 0.961 0.889 0.818 0.953 S6 0.850 0.910 0.956 0.945 0.899 1.000 0.996 0.923 0.972 0.954 0.975 0.925 0.887 0.982 0.945 0.978 S7 0.832 0.902 0.959 0.928 0.879 0.996 1.000 0.911 0.967 0.933 0.976 0.917 0.888 0.979 0.949 0.971 S8 0.852 0.967 0.870 0.930 0.980 0.923 0.911 1.000 0.940 0.966 0.908 0.944 0.966 0.906 0.842 0.965 S9 0.921 0.930 0.984 0.986 0.916 0.972 0.967 0.94 1.000 0.946 0.993 0.881 0.894 0.991 0.974 0.992 S10 0.837 0.966 0.895 0.955 0.982 0.954 0.933 0.966 0.946 1.000 0.931 0.965 0.939 0.939 0.873 0.977 S11 0.885 0.918 0.995 0.973 0.889 0.975 0.976 0.908 0.993 0.931 1.000 0.875 0.880 0.998 0.989 0.984 S12 0.731 0.941 0.825 0.862 0.950 0.925 0.917 0.944 0.881 0.965 0.875 1.000 0.957 0.883 0.798 0.931 S13 0.736 0.970 0.833 0.878 0.961 0.887 0.888 0.966 0.894 0.939 0.880 0.957 1.000 0.872 0.805 0.932 S14 0.893 0.909 0.991 0.974 0.889 0.982 0.979 0.906 0.991 0.939 0.998 0.883 0.872 1.000 0.986 0.984 S15 0.886 0.857 0.998 0.953 0.818 0.945 0.949 0.842 0.974 0.873 0.989 0.798 0.805 0.986 1.000 0.949 对照指纹图谱 0.893 0.960 0.964 0.982 0.953 0.978 0.971 0.965 0.992 0.977 0.984 0.931 0.932 0.984 0.949 1 表 2 各成分的线性方程、线性范围及相关系数
组分 线性方程 r 线性范围
(mg/ml)儿茶素 Y=3 090 363.74 X+ 8960.24 0.999 9 0.051 9~1.245 表儿茶素 Y=2 858 399.91 X+28 094.09 0.999 8 0.054 4~1.306 羟基红花黄色素A Y=8 489 620.24 X+9 092.68 0.999 9 0.018 8~0.452 芍药苷 Y=411 248.67 X–2 288.42 0.999 8 0.048 5~1.166 阿魏酸 Y=11 055 569.64 X+1 995.86 0.999 9 0.001 6~0.038 柚皮苷 Y=7 105 084.83 X–4 843.44 0.999 8 0.006 0~0.145 藁本内酯 Y=1 658 740.93 X–3 266.64 0.999 9 0.012 2~0.288 表 3 15批麝香接骨胶囊中7种成分含量测定结果(mg/g,n=2)
编号 儿茶素 表儿茶素 羟基红花黄色素A 芍药苷 阿魏酸 柚皮苷 藁本内酯 S1 6.96 2.66 0.43 2.05 0.28 0.10 2.59 S2 2.13 4.70 0.97 4.10 0.16 0.20 2.78 S3 6.59 3.13 0.57 5.53 0.27 0.14 2.13 S4 7.24 5.14 0.95 7.04 0.20 0.23 2.15 S5 1.98 4.53 1.03 5.81 0.11 0.19 2.50 S6 6.00 3.58 1.12 6.14 0.29 0.14 2.14 S7 5.94 3.57 1.24 5.08 0.10 0.09 2.12 S8 2.02 4.54 1.31 2.98 0.29 0.21 3.01 S9 6.22 4.64 1.25 3.62 0.28 0.19 2.18 S10 2.39 3.10 1.23 2.62 0.15 0.20 1.78 S11 5.73 3.22 0.49 5.45 0.18 0.10 2.06 S12 2.63 4.25 1.91 5.49 0.17 0.25 2.87 S13 1.09 2.76 0.54 1.26 0.10 0.07 2.08 S14 7.02 4.85 1.36 7.05 0.29 0.18 2.15 S15 3.63 3.76 0.94 7.49 0.17 0.10 1.96 -
[1] 国家药典委员会. 中国卫生部药品标准中药成方制剂: 第五册[S]. 1999: 209. [2] 单婷婷, 陈玉敏, 水彩红, 等. 高效液相色谱法测定麝香接骨胶囊中伪麻黄碱和麻黄碱的含量[J]. 中国医药指南, 2013, 11(9):94-95. doi: 10.3969/j.issn.1671-8194.2013.09.064 [3] 陈玉敏, 曹红, 邢俊波, 等. 麝香接骨胶囊中松香酸检测的研究[J]. 中华中医药杂志, 2014, 29(9):2982-2984. [4] 罗士香. 麝香接骨胶囊质量标准的研究[J]. 安徽医药, 2004, 8(6):459. doi: 10.3969/j.issn.1009-6469.2004.06.038 [5] 单婷婷, 曹红, 邢俊波, 等. HPLC法测定麝香接骨胶囊中四种生物碱的含量[J]. 解放军药学学报, 2013, 29(5):450-452. [6] 国家药典委员会. 中华人民共和国药典(一部)2020年版[S]. 北京: 中国医药科技出版社, 2020: 10,42,139,157,165, 267. -
下载: