Current Articles
2026, Volume 46, Issue 1
Display Method:
2026,
44(1):
1-6.
doi: 10.12206/j.issn.2097-2024.202306029
Abstract:
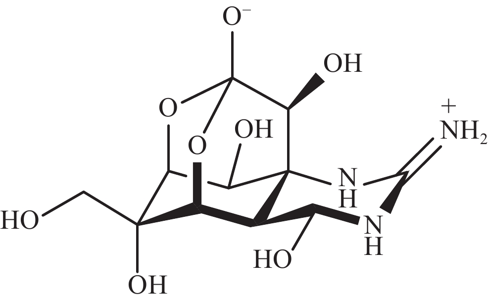
Tetrodotoxin(TTX)is a potent neurotoxin known for its specific sodium channel blocking effects, widely used in biomedical research. While TTX has been identified in various marine organisms, its true origin remains unclear, and the specific biosynthetic pathways are yet to be elucidated. The reported sources of TTX and the progress in research on TTX biosynthesis were summarized, with a focus on potential microbial sources of TTX, which could provide scientific reference for the production and biosynthesis studies of TTX.
Tetrodotoxin(TTX)is a potent neurotoxin known for its specific sodium channel blocking effects, widely used in biomedical research. While TTX has been identified in various marine organisms, its true origin remains unclear, and the specific biosynthetic pathways are yet to be elucidated. The reported sources of TTX and the progress in research on TTX biosynthesis were summarized, with a focus on potential microbial sources of TTX, which could provide scientific reference for the production and biosynthesis studies of TTX.
2026,
44(1):
7-11.
doi: 10.12206/j.issn.2097-2024.202309021
Abstract:
Lactic acid bacteria (LAB) are promising candidates for live bacterial drug delivery systems owing to their safety, probiotic properties, and ability to colonize the intestinal tract. At present, most research focuses on engineering LAB as carriers for the delivery of therapeutic proteins. As model organisms equipped with a versatile set of genetic tools, LAB can be readily modified to target various diseases and yield significant therapeutic effects. LAB-based carriers offer multiple advantages, including non-invasive delivery, ease of genetic manipulation, and suitability for large-scale production. Consequently, the use of LAB as recombinant protein expression vectors has attracted extensive research interest worldwide. The foundational principles, strategies for enhancing bioavailability, genetic engineering approaches, and the current research and application status of LAB-based drug delivery systems were summarized in this paper.
Lactic acid bacteria (LAB) are promising candidates for live bacterial drug delivery systems owing to their safety, probiotic properties, and ability to colonize the intestinal tract. At present, most research focuses on engineering LAB as carriers for the delivery of therapeutic proteins. As model organisms equipped with a versatile set of genetic tools, LAB can be readily modified to target various diseases and yield significant therapeutic effects. LAB-based carriers offer multiple advantages, including non-invasive delivery, ease of genetic manipulation, and suitability for large-scale production. Consequently, the use of LAB as recombinant protein expression vectors has attracted extensive research interest worldwide. The foundational principles, strategies for enhancing bioavailability, genetic engineering approaches, and the current research and application status of LAB-based drug delivery systems were summarized in this paper.
2026,
44(1):
12-19.
doi: 10.12206/j.issn.2097-2024.202309030
Abstract:
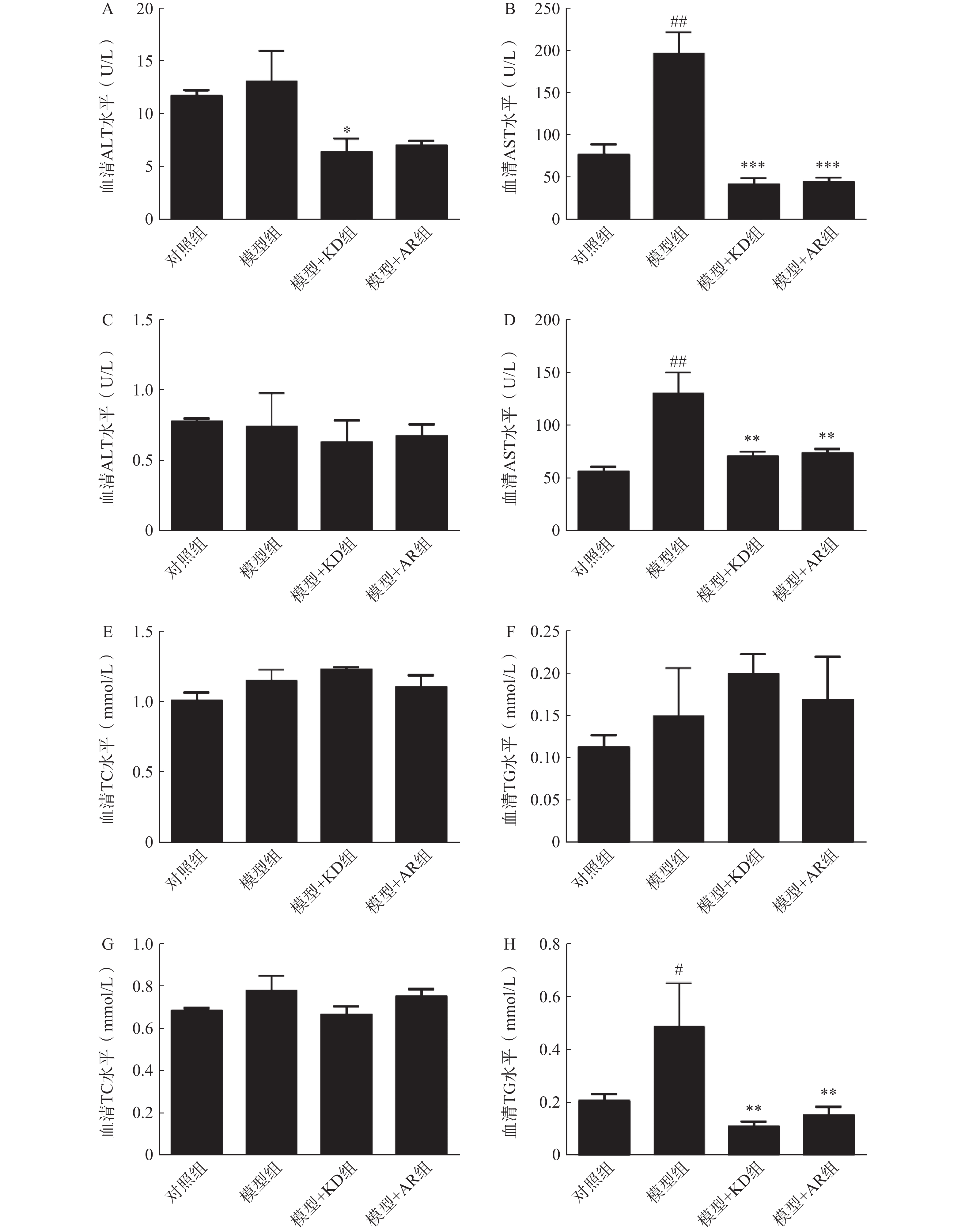
Objective To investigate the protective effect and potential mechanism of kinsenoside (KD)-the main ingredient of Anoectochilus roxburghii (AR) on alcoholic liver injury in mouse models of chronic and acute alcoholic liver injury, and provide a theoretical basis for the development of drugs for alcoholic liver injury. Methods Chronic and acute alcoholic liver injury mouse models were induced by feeding liquid diet containing 30% alcohol and gavage of high doses of alcohol (6 g/kg), respectively. The KD (50 mg/kg) and AR (250 mg/kg) were administrated by intragastric administration. Body weight, liver index, serum alanine aminotransferase (ALT), aspartate aminotransferase (AST) levels, serum total triglyceride (TG) and cholesterol (TC) levels were measured; hematoxylin-eosin and oil red O staining was performed on liver tissues; lipid metabolic related genes (PPARα and SREBP1) expression levels were detected by QPCR. Results Both models of alcoholic liver injury resulted in increased hepatic transaminase activity and elevated lipids, accompanied by massive vacuolar structure and lipid droplet formation in pathological liver sections. In the chronic alcoholic liver injury model, ALT and AST were significantly reduced after KD or AR treatment (P<0.05, P<0.001); the transcriptional activity of SREBP1 was significantly reduced after KD or AR treatment (P<0.01, P<0.05). In the acute alcoholic liver injury model, AST was significantly reduced after KD or AR treatment (P<0.01, P<0.01), and TG level was significantly decreased (P<0.01, P<0.01). Conclusion KD, as the main active ingredient of AR, played a major role in hepatoprotection in mice. KD treatment significantly alleviated chronic and acute alcoholic liver injury and reduced the lipid deposition in liver; KD promoted lipolysis by increasing PPARα and inhibiting the expression of SREBP1 to reduce the synthesis and accumulation of lipids, thus exerting its role in regulating lipid metabolism, which suggested that KD, as the active ingredient of AR, could be a potential drug for the treatment of ALD.
2026,
44(1):
20-25.
doi: 10.12206/j.issn.2097-2024.202307034
Abstract:
Objective To investigate the potential mechanism of nicotinamide combined with amphotericin B against Candida albicans based on metabolomics. Methods The intracellular metabolites of C. albicans intervened by different drugs including NAM, AmB, and their combination with a proper concentration were analyzed by gas chromatography-mass spectrometry. The differential metabolites were screened by multivariate statistical analysis and identified by searching the NIST database. Results Compared with the control group, the NAM intervention group was hardly separated from it, while the AmB group and NAM+AmB group showed a clear trend of separation. Under the intervention of AmB, 23 metabolites significantly changed compared with the control group, and 28 metabolites remarkably changed after NAM+AmB intervention, including amino acids, organic acids, sugars and other components. Conclusion NAM, as an endogenous metabolite of C. albicans, combined with AmB could enhance the effects of AmB in the original metabolic pathway and changed it to a certain extent. It was speculated that AmB combined with NAM may pose more antifungal effect on Candida albicans by regulating the tricarboxylic acid cycle, interfering with amino acid metabolism and influencing polyamine synthesis.
2026,
44(1):
26-31, 52.
doi: 10.12206/j.issn.2097-2024.202303006
Abstract:
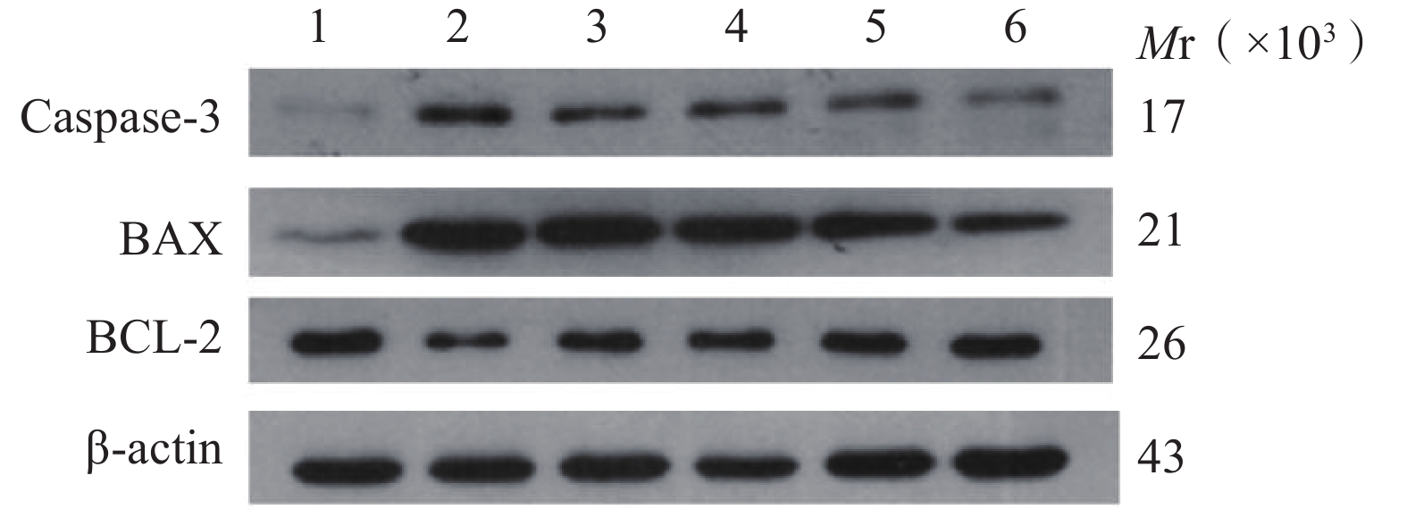
Objective To study the effect of Lishukang capsule on learning and memory impairment in mice with high altitude hypoxia based on Keap1/Nrf2/HO-1 signal pathway. Methods Sixty male Balb/C mice were randomly divided into normal control group, hypoxia model group, Rhodiola capsule group (400 mg/kg), low, medium and high dose groups of Lishukang capsule (400、 600、 800 mg/kg), with 10 mice in each group. The normal control group was fed at the local altitude (1 500 m) after 7 days of intragastric administration in each group, and the rest groups were fed at the low pressure and hypoxia animal experimental cabin to simulate the altitude of 7500 m for hypoxia for 3 days. During this period, the normal control group and the hypoxia model group were given normal saline once a day, and 1 hour after the last administration, the eight arm maze was used to test the spatial memory ability of mice under simulated high altitude hypoxia; HE staining was used to observe the morphological changes of hippocampus in mice; Western blot was used to detect the changes of protein content of Keap1/Nrf2/HO-1 signal pathway and apoptosis related protein in hippocampus of mice. Results Compared with the normal control group, the spatial memory ability of mice in the hypoxia model group was significantly impaired (P<0.01); HE staining showed that hippocampal neurons in mice were seriously injured; the content of brain tissue Keap1 protein and apoptosis related protein Bax and Caspase-3 increased (P<0.01); the content of Nrf2, HO-1 and apoptosis related protein Bcl-2 decreased (P<0.01). Compared with the hypoxia model group, the error rate of mice in the high dose group of Lishukang capsule in the eight arm maze behavior experiment was significantly reduced (P<0.05, P<0.01); HE staining showed that the neurons were arranged orderly and the cell morphology was good; the content of Keap1 protein and apoptosis related protein Bax and Caspase-3 decreased (P<0.01); the content of Nrf2, HO-1 and apoptosis related protein Bcl-2 increased(P<0.01). Conclusion High altitude hypoxia can lead to oxidative stress injury in mice and induce the expression of apoptosis related genes, thus aggravating the cognitive dysfunction of mice; Lishukang capsule can effectively improve the learning and memory impairment in mice caused by hypoxia, and its mechanism may be related to regulating the Keap1/Nrf2/HO-1 signal pathway and reducing apoptosis.
The antitumor mechanism of Fructus liquidambaris based on network pharmacology and molecular docking
2026,
44(1):
32-38.
doi: 10.12206/j.issn.2097-2024.202404067
Abstract:
Objective To predict the active components and pharmacological mechanism of F.liquidambaris in the treatment of tumor based on the network pharmacology and molecular docking. Methods The active components of F.liquidambaris were obtained by literature mining and TCMSP database. The potential targets of the active components were predicted by SwissTargetPrediction. The related targets of tumor were screened through GeneCards, OMIM, TTD, DrugBank databases. The common target sites between F.liquidambaris and tumor were obtained after getting the intersection. Through the String database combined with cytoscape software, the treatment of tumor key targets were screened by network topology parameter analysis. In addition, Metascape database was used to perform the gene ontology enrichment analysis and Tokyo Encyclopedia Enrichment analysis of the key targets for the treatment of tumor, and “component-target-pathway” network diagram was constructed. Through AutoDock Vina software, the molecular docking between the active components and targets of F.liquidambaris was verified. Results 6 active components of F.liquidambaris,29 targets related to tumor were screened out. The results of network analysis showed that F.liquidambaris might play an anti-tumor role by acting on key targets such as TP53, JUN, CASP3, ESR1, PTGS2, CASP9, CASP8 and PPARG. By KEGG enrichment analysis, targets were mainly enriched in cancer pathway, apoptosis pathway,PI3K-Akt signaling pathway, colorectal cancer pathway, small cell lung cancer pathway, P53 signaling pathway and other related pathways, involving cellular response to organic cyclic compound, apoptosis signaling pathway, hematopoiesis and other biological processes. The results of molecular docking showed that key targets and active components could be docked well, the best docking was PTGS2-isostyracin epoxide. Conclusion This study preliminarily revealed that F.liquidambari had the advantages of multiple components, multiple targets and multiple pathways in the treatment of tumor, which provided a new idea and direction for the subsequent experimental research.
2026,
44(1):
39-45.
doi: 10.12206/j.issn.2097-2024.202304011
Abstract:
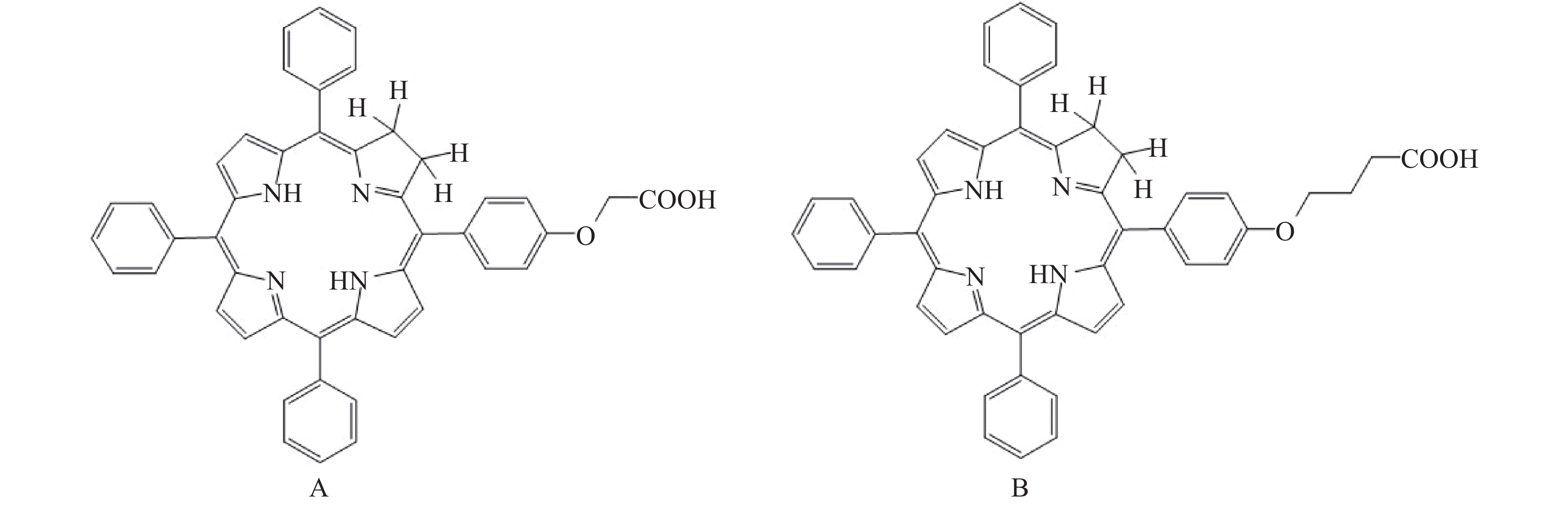
Objective To study the photodynamic performance and the killing effect of photodynamic therapy on lung cancer of novel chlorin compounds 2-(4-(5,15,20-triphenyl-7H,8H-porphyrin-10-yl) phenoxy) acetic acid( D1 )and 4-(4-(5,15,20-triphenyl-7H,8H-porphyrin-10-yl) phenoxy) butanoic acid ( D2 ). Methods The ultraviolet visible absorption spectrum and fluorescence spectrum of D1 and D2 were determined. The singlet oxygen generation capacity of D1 and D2 was measured by using DPBF as singlet oxygen capture agent. Fluorescence assay was used to detect the cellular phagocytosis rate of the compounds in A549 cells, and MTT assay was used to detect their dark toxicity and phototoxicity. A nude mouse model of lung cancer was established to investigate the antitumor activity of the compounds mediated photodynamic action in vivo, and the blood concentration of D2 in nude mice, its distribution in tumor tissue and skin tissue were further detected. Results D1 and D2 had strong absorption at 652 nm with the best excitation wavelength at 429 nm and 427 nm, and the optimal emission wavelength was at about 659 nm. They also had a higher singlet oxygen generation rate than the control drug m-THPC. D1 and D2 had no dark toxicity at concentrations below 10 μmol/L, and could be ingested by A549 cells, basically reaching saturation in 18~24 hours. After laser irradiation at 650 nm wavelength, D1 and D2 showed significant antitumor activity in vivo and in vitro (P<0.01). However, D2 could selectively accumulate in tumor tissues after administration, and the optimal treatment time was less than 30 min after administration. Conclusion D2 had excellent photodynamic antitumor activity and could selectively aggregate in tumor tissues, which had the potential to be a candidate drug for photosensitizer and treatment of lung cancer with independent intellectual property rights, and was worth further research.
2026,
44(1):
46-52.
doi: 10.12206/j.issn.2097-2024.202310021
Abstract:
Objective To establish quality evaluation method of Andrographis paniculata standard decoction by UPLC. Methods 21 batches of Andrographis paniculata standard decoctions were prepared according to the standardization method of TCM decoction pieces. The UPLC characteristic chromatograms analysis method was established. With andrographolide as a reference, quantitative analysis of multi-components by single marker (QAMS) was established for new neoandrographolide, 14 deoxyandrographolide and dehydrated andrographolide. The results were compared with the external standard method (ESM) to determine the accuracy of the method. Results Similarity Evaluation System for Chromatographic Fingerprint of TCM (2012 edition) was used to analyze and compare the characteristic chromatograms, and seven common peaks were determined and five were identified including luteolin-7-O-β-D-glucuronide, andrographolide, neoandrographolide, 14-deoxyandrographolide and dehydroandrographolide. The RSDs of content results of each component by QAMS and ESM were all within 3%. Conclusion The determination method was reliable and accurate, which could be used to reflect the intrinsic quality of Andrographis paniculata standard decoction comprehensively and provide the basis for the quality evaluation of Andrographis paniculata formula granules and other preparations.
2026,
44(1):
53-58.
doi: 10.12206/j.issn.2097-2024.202306020
Abstract:
Objective To establish a central cutting two-dimensional liquid chromatography for the determination of lamotrigine in human plasma. Methods External standard method was used. The first dimensional chromatographic column: SNCB(T)-1A(silica gel, 4.6 mm×50 mm, 5 μm), mobile phase A:VCV-1D mobile phase, flow rate: 0.4 ml/min; mobile phase B: water, flow rate: 1.0 ml/min; second dimensional chromatographic column: Symmetry C18 (4.6 mm×250 mm, 5 μm), mobile phase: acetonitrile-10 mmol/L ammonium acetate solution(V/V=25∶75), flow rate: 1.0 ml/min; Intermediate column: SBX 4-MA(resin, 3.0 mm×10 mm, 5µm). The UV detection wavelength: 306 nm, the column temperature: 45 ℃, and the injection volume: 200 μl. Results The linear range of lamotrigine was 1.24-39.50 μg/ml, the lower limit of quantification was 1.24 μg/ml, the detection limit was 0.02 μg/ml, the intra-day precision RSD was less than 5%, the day-to-day precision RSD was less than 10%, the variation of intra-day accuracy ranged from 102.17% to 111.17%, and the daytime accuracy variation ranged from 99.80% to 107.31% the recovery RSD was less than 5%, and the variation range was 89.95% -96.16%. After 24 hours storage at room temperature, repeated freezing and thawing for 3 times and storage at −40 ℃ for 2 weeks, the ratio of the measured value/labeled value ranged from 87.01% to 115.88%. Conclusion In this study, a method with simple operation, good stability, high sensitivity and good reproducibility was established, which could be suitable for clinical monitoring of blood concentration of lamotrigine and provide reliable monitoring data support for clinical individualized medication guidance.
Objective To establish a central cutting two-dimensional liquid chromatography for the determination of lamotrigine in human plasma. Methods External standard method was used. The first dimensional chromatographic column: SNCB(T)-1A(silica gel, 4.6 mm×50 mm, 5 μm), mobile phase A:VCV-1D mobile phase, flow rate: 0.4 ml/min; mobile phase B: water, flow rate: 1.0 ml/min; second dimensional chromatographic column: Symmetry C18 (4.6 mm×250 mm, 5 μm), mobile phase: acetonitrile-10 mmol/L ammonium acetate solution(V/V=25∶75), flow rate: 1.0 ml/min; Intermediate column: SBX 4-MA(resin, 3.0 mm×10 mm, 5µm). The UV detection wavelength: 306 nm, the column temperature: 45 ℃, and the injection volume: 200 μl. Results The linear range of lamotrigine was 1.24-39.50 μg/ml, the lower limit of quantification was 1.24 μg/ml, the detection limit was 0.02 μg/ml, the intra-day precision RSD was less than 5%, the day-to-day precision RSD was less than 10%, the variation of intra-day accuracy ranged from 102.17% to 111.17%, and the daytime accuracy variation ranged from 99.80% to 107.31% the recovery RSD was less than 5%, and the variation range was 89.95% -96.16%. After 24 hours storage at room temperature, repeated freezing and thawing for 3 times and storage at −40 ℃ for 2 weeks, the ratio of the measured value/labeled value ranged from 87.01% to 115.88%. Conclusion In this study, a method with simple operation, good stability, high sensitivity and good reproducibility was established, which could be suitable for clinical monitoring of blood concentration of lamotrigine and provide reliable monitoring data support for clinical individualized medication guidance.
Contribution System
Author Login
Review Login
Editor Login
Reader Login



News