2025 Vol. 45, No. 8
column
Display Method:
2025, 43(8): 367-372.
doi: 10.12206/j.issn.2097-2024.202308064
Abstract:
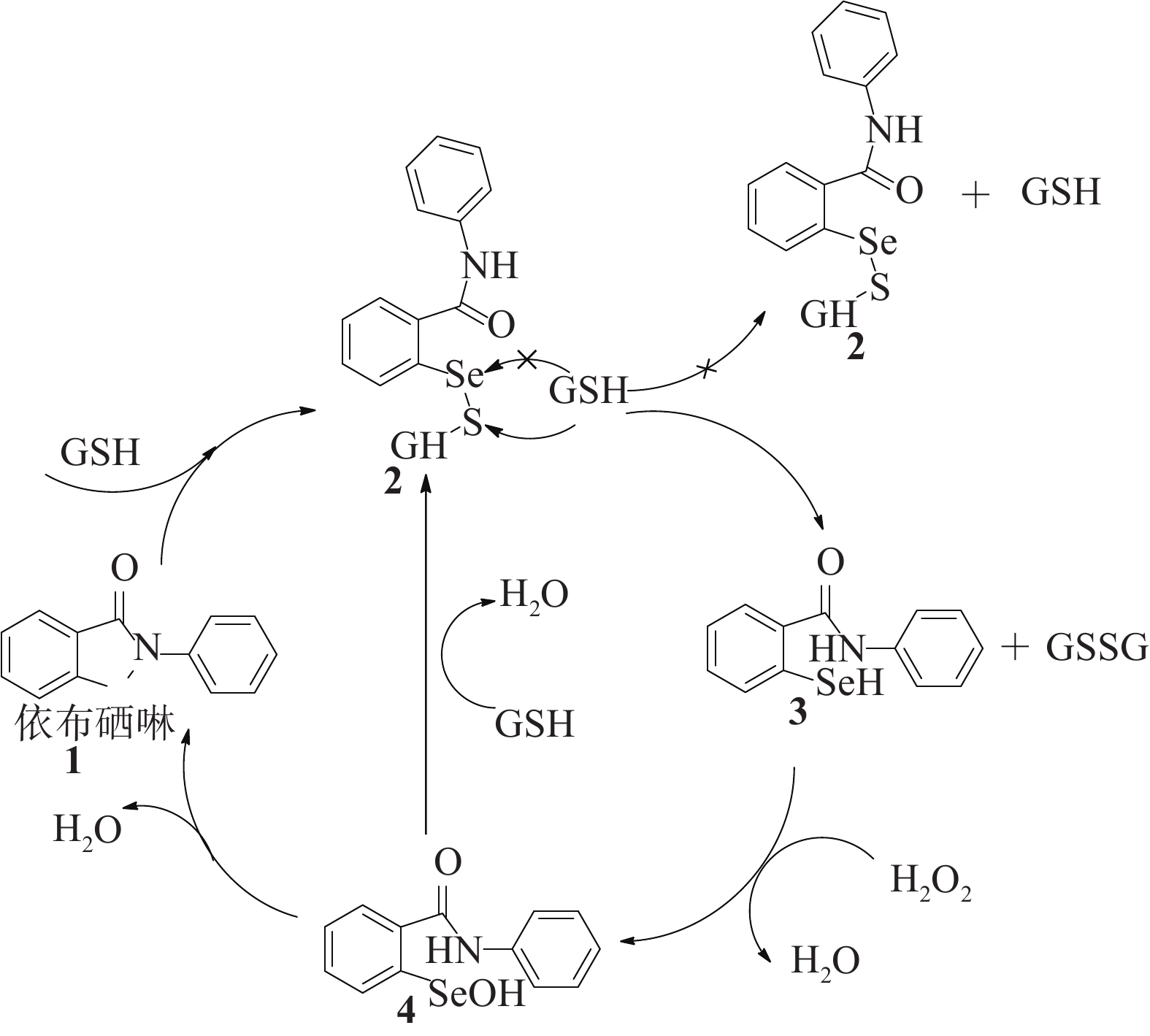
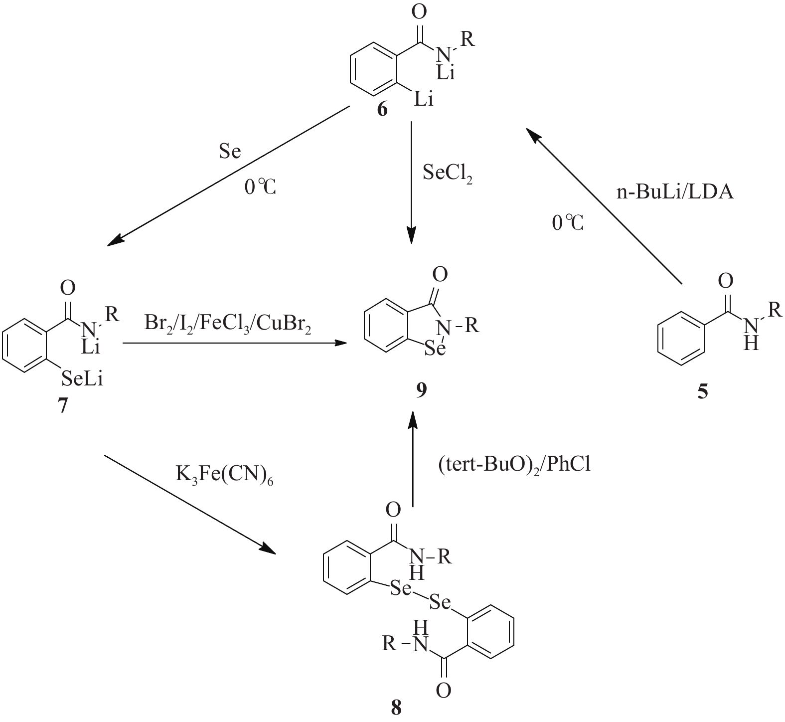
Glutathione peroxidase (GSH-Px) is a key selenoenzyme that protects the body from oxidative damage. A series of small molecular organic selenium compounds have been designed and synthesized as functional mimics of GPx, among which isoselenazolones are the most widely studied. Taking ebselen as a representative, the catalytic mechanism of isoselenazolones in mimicing GSH-Px activity in vivo, the therapeutic effects of isoselenazolones in stroke, sensorineurium deafness and tinnitus, treatmentresistant depression (TRD) and coronavirus disease 2019 (COVID-19), and research on their chemical synthesis methods were summarized and discussed in this paper.
Glutathione peroxidase (GSH-Px) is a key selenoenzyme that protects the body from oxidative damage. A series of small molecular organic selenium compounds have been designed and synthesized as functional mimics of GPx, among which isoselenazolones are the most widely studied. Taking ebselen as a representative, the catalytic mechanism of isoselenazolones in mimicing GSH-Px activity in vivo, the therapeutic effects of isoselenazolones in stroke, sensorineurium deafness and tinnitus, treatmentresistant depression (TRD) and coronavirus disease 2019 (COVID-19), and research on their chemical synthesis methods were summarized and discussed in this paper.
2025, 43(8): 373-376, 409.
doi: 10.12206/j.issn.2097-2024.202403014
Abstract:
Due to the diverse composition and complex physicochemical and biological characteristics, the pre-treatment of microbiological counting method (preparation of test solution) in microbiological limit test were interfered by many factors, which ultimately affected the repeatability and accuracy of test results. Improving the accuracy of microbiological test is of practical significance to ensure the safety and effectiveness of non-sterile preparations. In this paper, the key factors and optimization methods involved in the pre-treatment of proprietary Chinese medicines were systematically analyzed and summarized.
Due to the diverse composition and complex physicochemical and biological characteristics, the pre-treatment of microbiological counting method (preparation of test solution) in microbiological limit test were interfered by many factors, which ultimately affected the repeatability and accuracy of test results. Improving the accuracy of microbiological test is of practical significance to ensure the safety and effectiveness of non-sterile preparations. In this paper, the key factors and optimization methods involved in the pre-treatment of proprietary Chinese medicines were systematically analyzed and summarized.
2025, 43(8): 377-382, 399.
doi: 10.12206/j.issn.2097-2024.202307014
Abstract:
Objective To explore the mechanism of Medicoscab tincture in the treatment of second-degree burns based on network pharmacology and molecular docking technology. Methods The effective components of the tincture were screened by the TCMSP; the effective components of the tincture and burn related targets were screened by GeneCards and OMIM database; Cytoscape 3.7.2 software was used to draw “Chinese medicine-disease-effective components-targets” network diagram; the related gene ontology (GO) functions and pathways of the tincture were obtained through GO enrichment analysis and Kyoto encyclo-pedia of genes and geomes (KEGG) pathway analysis on the targets through Metascape platform; the pathway bubble diagram was constructed by the pathways enriched in the KEGG database, and finally verified by AutoDockTools for molecular alignment. Results 19 effective components and 179 target intersections of Medicoscab tincture were selected. GO analysis showed the intervention burns process mainly involved the reaction of inorganic substances, the reaction of cells to nitrogen compounds, and the response to xenobiotic stimuli, as well as biological processes such as membrane rafts, vesicular cavities, transcriptional regulatory factor complexes, receptor complexes, and endoplasmic reticulum cavities. KEGG analysis showed the function mainly includes AGE-RAGE signal pathway, PI3K-Akt signal pathway, IL-17 signal pathway, TNF signal pathway, etc. Analysis of cytoscape software showed the core targets were AKT1, TNF, IL-6, GAPDH, TP53, etc. Molecular docking showed that the active components of Medicoscab tincture were docking with multiple targets, among which β- sitosterol had strong binding activity with AKT1, GAPDH and TP53. Conclusion Quercetin, kaempferol, baicalein, β-sitosterol and other core active ingredients in the tincture of making scabs, which could assist in the relief of burns, regulate the signalling pathways such as AGE-RAGE, PI3K-Akt, IL-17, TNF and so on by acting on the targets of AKT1, GAPDH, TP53, IL-6 and so on. This study laid a theoretical foundation for clarifying the mechanism of action of tincture of scab making for the treatment of burn-like diseases.
2025, 43(8): 383-389.
doi: 10.12206/j.issn.2097-2024.202504013
Abstract:
Objective To evaluate the clinical efficacy of Traditional Chinese Medicine (TCM)external treatment methods in alleviating skin pruritus caused by eczema through a Meta-analysis. Methods Randomized clinical trials investigating the use of TCM external treatment methods for skin pruritus caused by eczema were searched in databases including China National Knowledge Infrastructure (CNKI), VIP, Wanfang, Sinomed, PubMed, Embase, LILACS, and Cochrane, up to December 2024. Two reviewers independently screened and entered the statistical data, conducted bias risk assessment by the Cochrane Handbook for Systematic Reviews of Interventions, version 5.1.0, and performed Meta-analysis using RevMan 5.4.1. Results Ultimately, 14 studies involving 1 788 patients were included. Compared to the control group, TCM external treatment methods (treatment group)showed better improvement in pruritus scores (Z=11.88, P<0.000 01), better improvement in Eczema Area and Severity Index (EASI) scores (Z=23.15, P<0.000 01), higher overall clinical efficacy rate (Z=6.21, P<0.000 01), better improvement in TCM symptoms (Z=5.49, P<0.000 01), and lower clinical recurrence rate (Z=2.88, P=0.004). Three of the included studies mentioned adverse reactions, with the treatment group showing lower adverse reactions than the control group. Conclusion The external treatment of TCM was more effective in treating skin pruritus caused by eczema compared to the control group. Given the biases and heterogeneity in the included literature, this conclusion needs to be further substantiated by more large-scale, multi-center, randomized, controlled, and double-blind studies.
2025, 43(8): 390-394.
doi: 10.12206/j.issn.2097-2024.202312068
Abstract:
Objective To develop an ultra-high performance liquid chromatography-tandem mass spectrometry (UPLC-MS/MS) method to simultaneously determine 10 main components, including berberine, phellodendrine, specnuezhenide, mangiferin, loganin, paeoniflorin, geniposide, baicalin, and acteoside in Compound Dihuang oral solution. Methods An UPLC-MS/MS method was established with an ACQUITY UPLC BEH-C18 (2.1 mm×100 mm, 1.7 μm)column and mobile phase of 0.1% formic water(A)-methanol solution(B) in a gradient elution manner. The flow rate of mobile phase was 0.2 ml/min.The temperature of column was 30℃. The injection volume was 2 μl. The MS detection was in MRM mode. Results 10 components in Compound Dihuang oral solution had a good linear relationship within their concentration range,and the precision, repeatability, stability and recovery met the requirements. The contents of berberine, phellodendrine, specnuezhenide, mangiferin, loganin, paeoniflorin, geniposide, baicalin, and acteoside in 7 batches of samples were (89.7-95.6) μg/ml, (164.0-177.7) μg/ml, (540.0-610.0) μg/ml, (408.7-429.0) μg/ml, (726.0-825.0) μg/ml, (503.7-572.0) μg/ml, (1380.0 -1540.0) μg/ml , (2596.7- 2896.7) μg/ml , (4866.7 -5520.0) μg/ml , (61.8-67.2) μg/ml, respectively. Conclusion The established method was easy to be repeated and operated. The contents of 10 components in Compound Dihuang oral solution could be determined quickly and accurately, which provided a reference for the quality control of hospital preparation.
2025, 43(8): 395-399.
doi: 10.12206/j.issn.2097-2024.202307059
Abstract:
Objective To establish the characteristic atlas of Shexiang Jiegu Capsule and determine the contents of seven active components (hydroxysafflor Yellow A, paeoniflorin, ferulic acid, naringin, ligustilide, catechin, epicatechin). Methods Octadecyl silane bonded silica gel was used as the filling agent, the mobile phase was composed of methanol-0.05% phosphoric acid by gradient elution, the detection wavelength was 245 nm, flow rate was 1.0 ml/min, column temperature was 30℃. The similarity of the fifteen batches of sample was evaluated in line with the TCM Chromatographic Fingerprint (2012 edition), and the contents of seven active components were determined. Results The HPLC fingerprint of Shexiang Jiegu Capsules was established. The similarity of fingerprint between fifteen batches of samples and control fingerprint was between 0.893 and 0.992. The results of methodological investigation for the determination of seven active components in fifteen batches of samples all met the requirements. Conclusion The established characteristic atlas of Shexiang Jiegu Capsules had high specificity and good repeatability, which could provide scientific basis for quality control of Shexiang Jiegu Capsules.
2025, 43(8): 400-403.
doi: 10.12206/j.issn.2097-2024.202408053
Abstract:
Objective To study the antitumor activities of RRx-001 derivatives with novel covalent fragments. Methods Four targeted compounds were designed and synthesized. The structures were confirmed by 1H NMR and HRMS. A549 and HCT116 cancer cell lines were selected for antiproliferative activity assays. Results All the compounds revealed antitumor activities and compound ZM528 showed the best antitumor activity against these two cell lines with IC50 values of (5.1±4.8) μmol/L and (6.0±2.7) μmol/L, respectively. Conclusion The result indicated that bromoacetyl group of RRx-001 could be substituted with other covalent fragments.
Contribution System
Author Login
Review Login
Editor Login
Reader Login



News