2025 Vol. 45, No. 6
Display Method:
2025, 43(6): 259-269, 297.
doi: 10.12206/j.issn.2097-2024.202503064
Abstract:
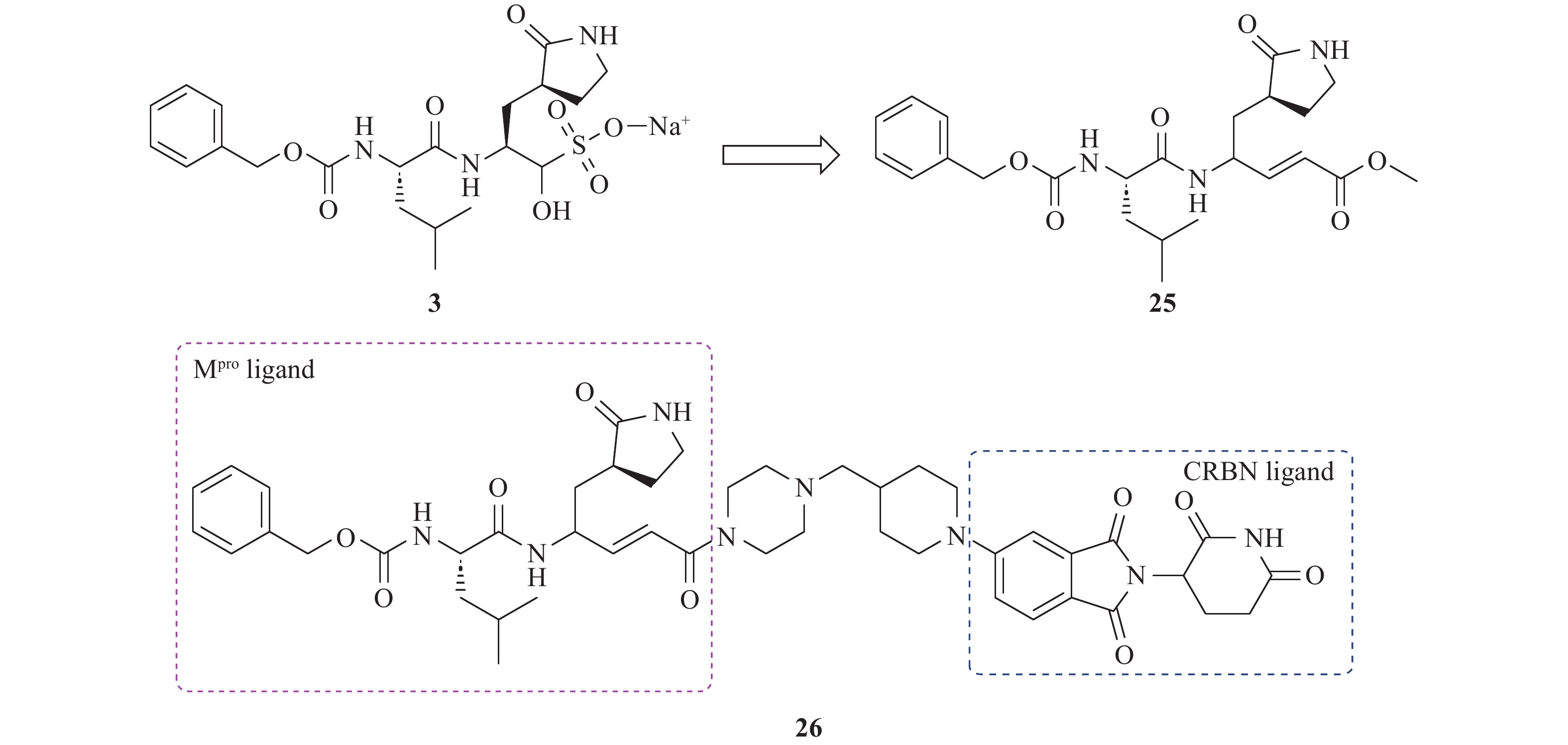
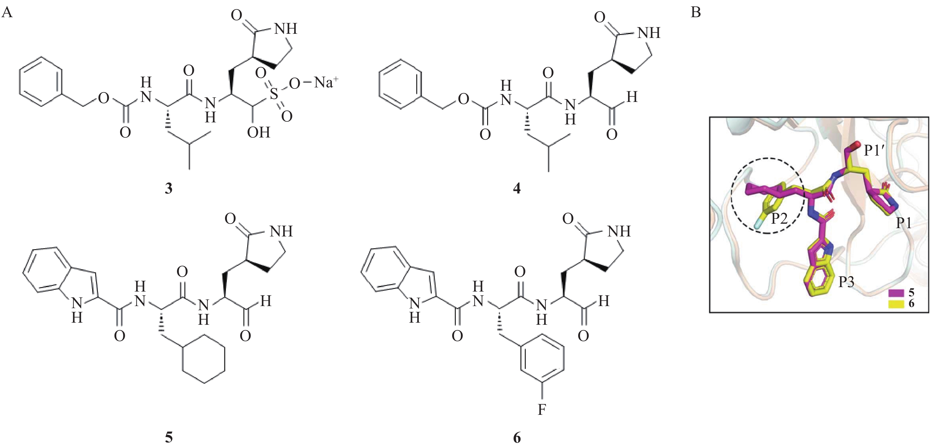
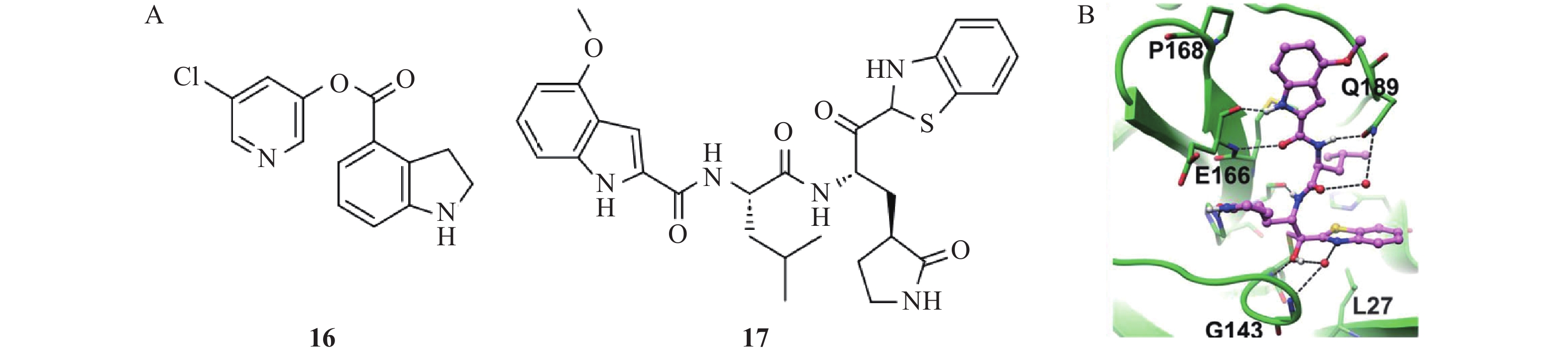
The main protease (Mpro) of SARS-CoV-2, a pivotal enzyme for viral replication and transcription, has emerged as a critical therapeutic target in antiviral drug discovery due to its high conservation across coronaviruses and low homology with host proteases. Recent advances in Mpro inhibitors were summarized in this review, including peptide-mimetic covalent inhibitors, non-peptide covalent inhibitors, and non-covalent inhibitors. Furthermore, the application of proteolysis targeting chimera (PROTAC) technology in developing Mpro degraders was explored, which provided valuable insights for the development of antiviral drugs.
The main protease (Mpro) of SARS-CoV-2, a pivotal enzyme for viral replication and transcription, has emerged as a critical therapeutic target in antiviral drug discovery due to its high conservation across coronaviruses and low homology with host proteases. Recent advances in Mpro inhibitors were summarized in this review, including peptide-mimetic covalent inhibitors, non-peptide covalent inhibitors, and non-covalent inhibitors. Furthermore, the application of proteolysis targeting chimera (PROTAC) technology in developing Mpro degraders was explored, which provided valuable insights for the development of antiviral drugs.
2025, 43(6): 270-274.
doi: 10.12206/j.issn.2097-2024.202405060
Abstract:
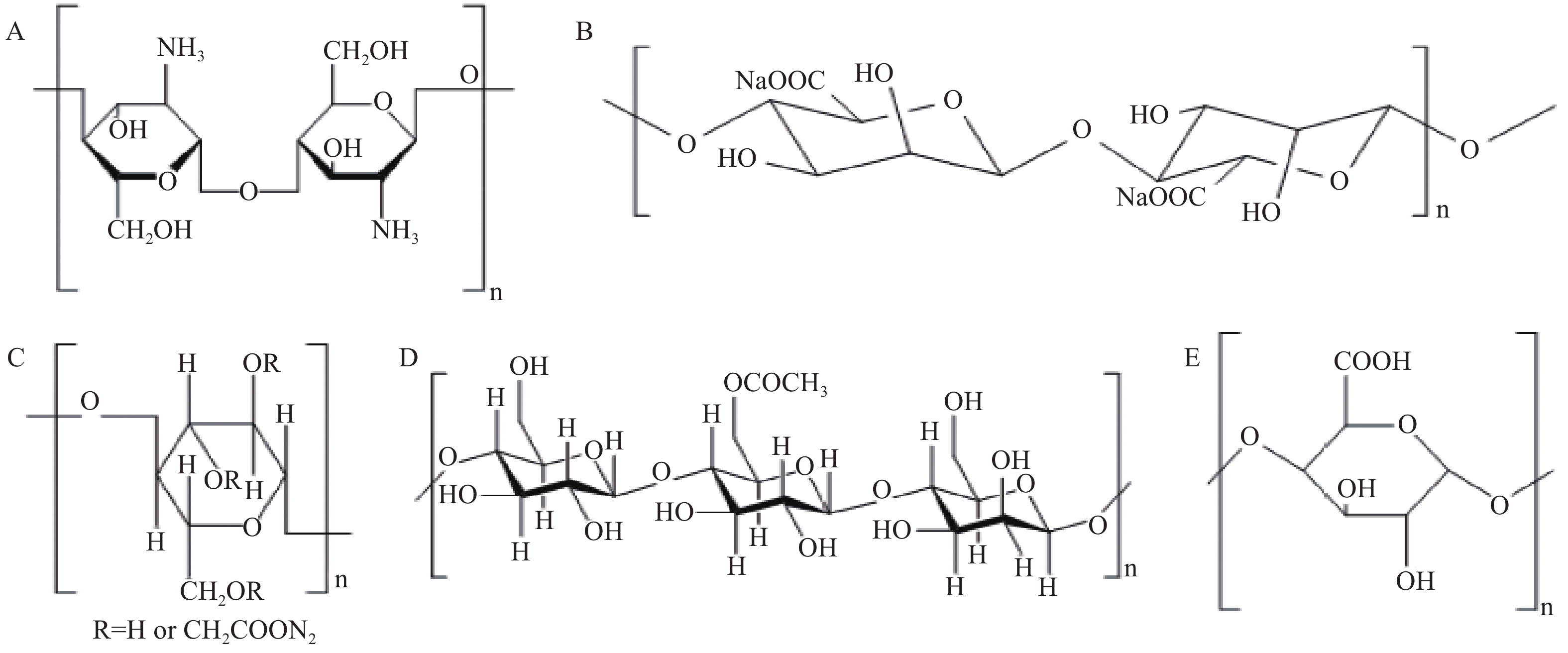
Radionuclides can be hazardous by absorbed through the skin, respiratory and digestive tracts. Chelating agents and adsorbents already could effectively remove them, however traditional chelators have side effects such as nephrotoxicity, teratogenicity, and embryotoxicity. As a new type of nuclide adsorbent, polysaccharide has the advantages of safety, biocompatibility, and high clearance rate. In this paper, the main types and perniciousness of radionuclides, and the latest research of polysaccharides in radionuclide removal were summarized. The application of polysaccharide as an effective adsorption molecule for radio nuclides in nuclear wars, nuclear accidents and other sudden nuclear events is promising.
Radionuclides can be hazardous by absorbed through the skin, respiratory and digestive tracts. Chelating agents and adsorbents already could effectively remove them, however traditional chelators have side effects such as nephrotoxicity, teratogenicity, and embryotoxicity. As a new type of nuclide adsorbent, polysaccharide has the advantages of safety, biocompatibility, and high clearance rate. In this paper, the main types and perniciousness of radionuclides, and the latest research of polysaccharides in radionuclide removal were summarized. The application of polysaccharide as an effective adsorption molecule for radio nuclides in nuclear wars, nuclear accidents and other sudden nuclear events is promising.
2025, 43(6): 275-282.
doi: 10.12206/j.issn.2097-2024.202504023
Abstract:
Salvia miltiorrhiza Bunge (Lamiaceae) is a medicinal plant widely used in Traditional Chinese Medicine for treating cardiovascular and cerebrovascular diseases. Chloroplasts are double-membrane-bound, chlorophyll-containing organelles and responsible for photosynthesis in plant cells. The structural information of chloroplast genomes serves as the foundation for precise exogenous gene insertion, site selection, and chloroplast genome modification. In this study, a comprehensive analysis and comparison of 125 chloroplast genomes from S. miltiorrhiza and 76 congeneric species were conducted, focusing on sequence characteristics, codon usage bias, simple sequence repeats (SSRs), contraction/expansion of chloroplast genome boundaries, and phylogenetic relationships, which could provide a theoretical foundation for advancing chloroplast genetic engineering, genetic diversity analysis, molecular breeding, and species identification within the Salvia genus.
Salvia miltiorrhiza Bunge (Lamiaceae) is a medicinal plant widely used in Traditional Chinese Medicine for treating cardiovascular and cerebrovascular diseases. Chloroplasts are double-membrane-bound, chlorophyll-containing organelles and responsible for photosynthesis in plant cells. The structural information of chloroplast genomes serves as the foundation for precise exogenous gene insertion, site selection, and chloroplast genome modification. In this study, a comprehensive analysis and comparison of 125 chloroplast genomes from S. miltiorrhiza and 76 congeneric species were conducted, focusing on sequence characteristics, codon usage bias, simple sequence repeats (SSRs), contraction/expansion of chloroplast genome boundaries, and phylogenetic relationships, which could provide a theoretical foundation for advancing chloroplast genetic engineering, genetic diversity analysis, molecular breeding, and species identification within the Salvia genus.
2025, 43(6): 283-287.
doi: 10.12206/j.issn.2097-2024.202412057
Abstract:
Objective To clarify the effect and mechanisms of astaxanthin on the calcification of aortic valve interstitial cells (VICs) induced by osteogenic medium (OM). Methods The CCK-8 assay was used to analyze the effects of different concentrations of astaxanthin on the proliferation of VICs. After treating VICs with astaxanthin in OM, Alizarin Red staining was performed to detect calcified nodules, and Western blotting was used to measure the expression levels of osteogenic differentiation markers ALP and Runx2. Additionally, Western blotting and immunofluorescence detection were utilized to assess the expression levels of Nrf2 and HO-1 proteins. The levels of intracellular reactive oxygen species (ROS) were measured by DCFH-DA fluorescence staining. Results The CCK-8 results indicated that the optimal concentration of astaxanthin for intervention was 25 μmol/L. Astaxanthin treatment reduced the formation of calcified nodules induced by OM in VICs, and inhibited the expression of osteogenic differentiation markers ALP and Runx2 (P<0.01). Furthermore, Astaxanthin treatment decreased the expression levels of Nrf2 and HO-1 (P<0.01), and reduced intracellular reactive oxygen species levels (P<0.01). Conclusion Astaxanthin may mitigate oxidative stress and calcification in VICs by enhancing the Nrf2/HO-1 antioxidant signaling pathway.
2025, 43(6): 288-292, 312.
doi: 10.12206/j.issn.2097-2024.202405024
Abstract:
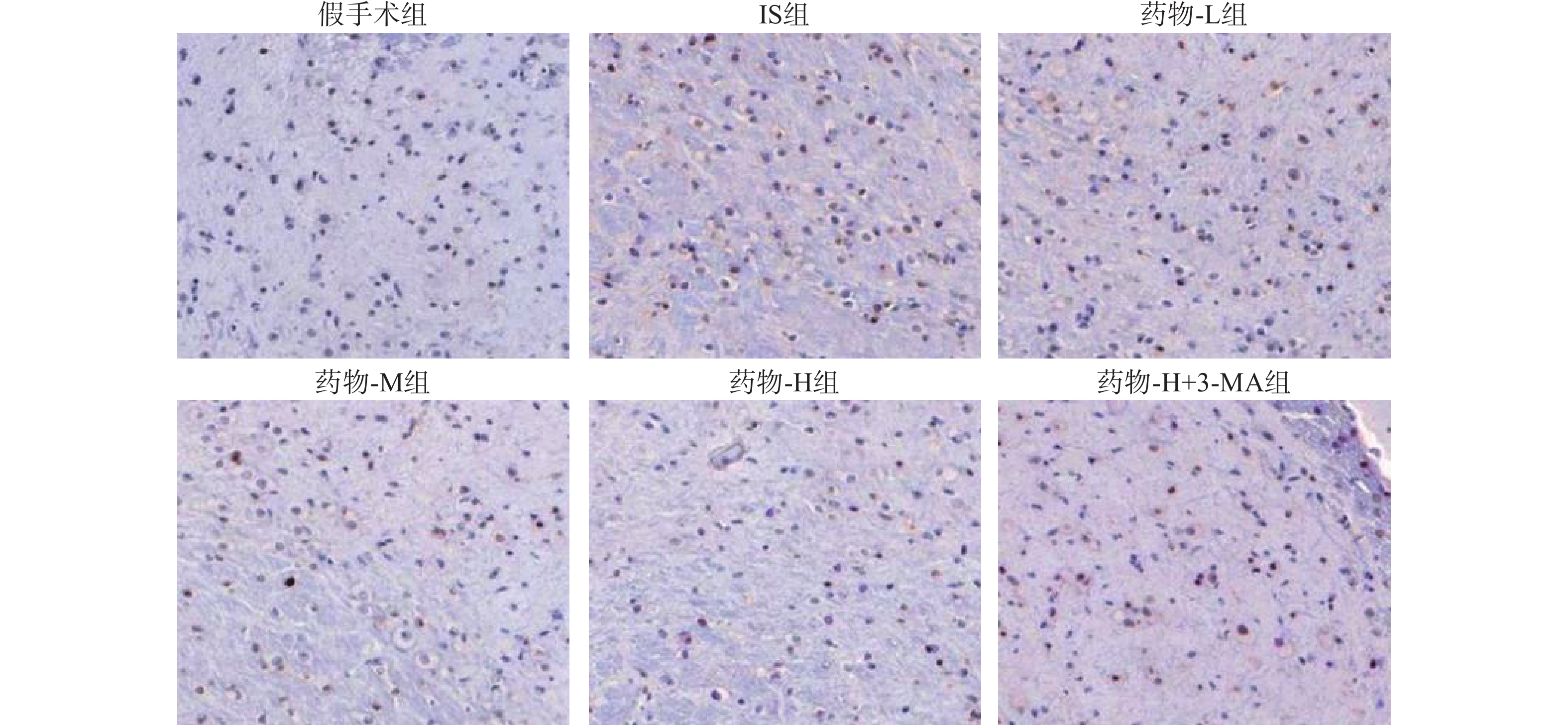
Objective To investigate the effect of midazolam on neuronal damage in ischemic stroke (IS) rats and its regulatory effect on PTEN-induced putative kinase 1 (PINK1)/E3 ubiquitin ligase (PARKIN) signaling pathway. Methods An IS rat model was established using arterial occlusion method. The rats with successful model were randomly divided into IS group, drug-low, medium, high-dose (drug-L, M, H, 30, 60, 90 mg/kg midazolam) groups, drug-H+autophagy inhibitor 3-MA group (90 mg/kg midazolam+30 mg/kg 3-MA), and rats with only isolated blood vessels were used as sham surgery groups. Each group received corresponding doses of drugs or physiological saline intervention, and the neurological function scoring, brain histopathology, neuronal apoptosis, ultrastructure, and expression of PINK1, PARKIN, microtubule-associated protein 1 light chain 3 (LC3), and P62 protein in mitochondria were detected. Results Compared with the IS group, the pathological damage of the drug-L group, drug-M group, and drug-H group was improved, and autophagosomes showed an increasing trend, the expression of PINK1, PARKIN, and LC3 proteins increased, the neurological function score, neuronal apoptosis rate, and P62 protein obviously decreased in a dose-dependent manner (P<0.01 or P<0.001); compared with the drug-H group, the pathological damage in the drug-H+3-MA group increased and autophagosomes decreased, the expression of PINK1, PARKIN, and LC3 proteins decreased, the neurological function score, neuronal apoptosis rate, and P62 protein obviously increased (P<0.001). Conclusion Midazolam induced mitochondrial autophagy in IS rats by activating the PINK1/PARKIN signaling pathway, neuronal apoptosis was reduced and neuronal damage were improved in IS rats.
2025, 43(6): 293-297.
doi: 10.12206/j.issn.2097-2024.202404059
Abstract:
Objective To establish a HPLC method for determining thimerosal compounds in eye drops. Methods A gradient HPLC system was used in the quantitative analysis of thimerosal compounds on Shiseido MGII C18 column (4.6 mm×250 mm, 5 μm), using 1% triethylamine solution (pH adjusted to 3.0 with phosphate) as mobile phase A, the methanol as mobile phase B, gradient elution, The column temperature was 40 ℃, the detection wavelength was 222 nm, the flow rate was 1 ml/min and the injection volume was 20 µl. Results The established method had good linearity within the concentration range of 4.3-216.7 μg/ml (r>0.999) for thimerosal, with average recoveries was 102.1%, RSD2.7%. Conclusion This method was simple, accurate and highly specific, and could be used for determination of thimerosal compound in eye drops.
2025, 43(6): 298-302.
doi: 10.12206/j.issn.2097-2024.202407045
Abstract:
Objective To observe the clinical effect of Jiu-Wei-Yong-An granule combined with cetirizine in the treatment of damp-heat accumulation syndrome of eczema. Methods 108 eczema patients with syndrome of damp-heat accumulated in the skin, treated in the Department of Traditional Chinese Surgery in the First Affiliated Hospital of Naval Medical University from December 2021 to March 2023, were selected. They were randomly divided into an observation group and a control group, 54 cases in each. Both groups took cetirizine tablets orally for basic treatment. The observation group was given Jiu-Wei-Yong-An granules, and the control group was given placebos of the same. The clinical efficacy before and after treatment in the two groups was observed and compared, including TCM syndrome scores, eczema area and severity index (EASI), visual analogue scale (VAS), and adverse reactions. Results After treatment, the total effective rate of the observation group (88.9%) was higher than that of the control group (77.8%), and the difference was statistically significant (P<0.05). After treatment, the TCM syndrome score, EASI and VAS in the observation group were significantly lower than those in the control group (P<0.05), and the difference was statistically significant. There was no significant difference in the total rate of adverse reactions between the two groups (P>0.05). Conclusion The combination of Jiu-Wei-Yong-An granules and cetirizine tablets in the treatment of damp-heat eczema showed significantly better clinical outcomes in the observation group compared to the control. It effectively improved patient conditions, reduced skin lesion areas, and alleviated itching, with both safety and efficacy that merit clinical promotion.
2025, 43(6): 303-306.
doi: 10.12206/j.issn.2097-2024.202502009
Abstract:
Objective To investigate the preventive effects of lidocaine administered through different routes on cardiovascular stress responses during anesthesia tracheal intubation. Methods Total 120 patients scheduled for elective surgery under general anesthesia were randomly divided into three groups: intravenous injection group (group IV), throat spray group (group LJ), and control group (group CT), with 40 patients in each. Group IV received 50 mg of lidocaine via intravenous injection 1 minute before tracheal intubation. Group LJ received 50 mg of lidocaine sprayed into the pharyngeal cavity, glottis, and subglottic area. Group CT did not receive any treatment, and the remaining procedures were performed following the routine general anesthesia induction protocol. Heart rate (HR), systolic blood pressure (SBP), diastolic blood pressure (DBP), and mean arterial pressure (MAP) were recorded at four time points: T0 (before tracheal intubation), T1 (immediately after tracheal intubation), T2 (3 minutes after intubation), and T3 (5 minutes after intubation). Statistical analysis of the data was performed using SPSS 22.0. Results There were no significant differences in HR at various time points within the group LJ. The changes in HR in the group IV and group CT were different statistically from those in the throat spray group. The blood pressure of patients in all three groups increased to varying degrees immediately after tracheal intubation, with the group CT showing particularly significant changes that differed significantly from both the group IV and the group LJ. The group LJ rapidly returned to levels close to those before intubation. Conclusion The preventive effects of lidocaine on stress responses during tracheal intubation were different depending on the route of administration. The inhibitory preventive effect of the throat spray method was superior to that of intravenous lidocaine, especially in preventing changes in heart rate.
2025, 43(6): 307-312.
doi: 10.12206/j.issn.2097-2024.202501001
Abstract:
Objective To systematically evaluate toxicities of nifedipine in pregnant women with hypertension, and provide references for nifedipine’s clinical safety application. Methods Study was conducted with data from US food and drug administration adverse event reporting system(FAERS) database from January 1, 2015, to March 31, 2021. Information component (IC) and reporting odds ratio(ROR)methods were applied for signal mining. Results Finally, a total of 539278 records of pregnant women with hypertension were selected for analysis, and 70 positive adverse drug event signals were detected. Premature delivery (IC025=2.87, ROR025=9.52), pre-eclampsia (IC025=1.82, ROR025=3.82) and fetal growth restriction (IC025=2.37, ROR025=5.69)were positive adverse events with higher frequency. Polydactyly(IC025=3.13, ROR025=10.05), fetal death(IC025=2.93, ROR025=8.57)and premature delivery(IC025=2.87, ROR025=9.52)were positive adverse events with higher intensity. Vascular resistance systemic increased, small for dates baby and fetal death corresponded to higher death rates. Conclusion Nifedipine-associated drug toxicities were detected in pregnant women with hypertension, and some adverse events with high frequency and high death rate were deserved further attention by medical staffs.
Contribution System
Author Login
Review Login
Editor Login
Reader Login



News