2025 Vol. 45, No. 4
Display Method:
2025, 43(4): 151-155, 173.
doi: 10.12206/j.issn.2097-2024.202408045
Abstract:
The method of promoting blood circulation and removing blood stasis refers to the use of traditional Chinese medicine with a dispersing effect that can eliminate blood stasis in the body to treat the syndrome of blood stasis, which has the effects of unblocking blood vessels, dissipating stasis, regulating menstruation and relieving pain and are widely used for conditions such as chest tightness, heartache, dementia, menstrual disorders caused by blood stasis. Common medicines include Salvia miltiorrhiza Bunge, Panax notoginseng (Burkill), Ligusticum chuanxiong Hort, Radix Curcumae, etc. Blood activating and stasis removing drugs generally have the effects of improving microcirculation, relaxing blood vessels, inhibiting thromboxane formation, and inhibiting platelet aggregation. They have good therapeutic effects on blood stasis syndrome in diseases such as coronary heart disease, angina pectoris, and vascular dementia. The research progress on traditional Chinese medicine and modern medicine on the treatment of vascular dementia with blood activating and stasis removing drugs were reviewed, in order to provide reference for the clinical application of blood activating and stasis removing methods in the treatment of vascular dementia.
The method of promoting blood circulation and removing blood stasis refers to the use of traditional Chinese medicine with a dispersing effect that can eliminate blood stasis in the body to treat the syndrome of blood stasis, which has the effects of unblocking blood vessels, dissipating stasis, regulating menstruation and relieving pain and are widely used for conditions such as chest tightness, heartache, dementia, menstrual disorders caused by blood stasis. Common medicines include Salvia miltiorrhiza Bunge, Panax notoginseng (Burkill), Ligusticum chuanxiong Hort, Radix Curcumae, etc. Blood activating and stasis removing drugs generally have the effects of improving microcirculation, relaxing blood vessels, inhibiting thromboxane formation, and inhibiting platelet aggregation. They have good therapeutic effects on blood stasis syndrome in diseases such as coronary heart disease, angina pectoris, and vascular dementia. The research progress on traditional Chinese medicine and modern medicine on the treatment of vascular dementia with blood activating and stasis removing drugs were reviewed, in order to provide reference for the clinical application of blood activating and stasis removing methods in the treatment of vascular dementia.
2025, 43(4): 156-162.
doi: 10.12206/j.issn.2097-2024.202406053
Abstract:
Sophora Flavescens is the dried root of the leguminous plant Sophora Flavescens Ait. It was first published in Shen Nong's Herbal Classic. Sophora Flavescens contains a variety of active ingredients, mainly including matrine and oxymatrine, with anti-inflammatory, anti-tumor, anti-arrhythmia, disease-resistant pathogenic microorganisms and other pharmacological effects. Clinically, the compound preparations of Sophora Flavescens include Compound KuShen injection and KuShen gel and so on, which can be used to treat many types of cancers and improve skin, mucous pruritus, pain and other symptoms. Due to the poor bioavailability, the structure of matrine needs to be reformed. MASM, matrine derivative, only needs a low concentration to have a good therapeutic effect on sepsis and liver fibrosis. In this article, the chemical composition, pharmacological effects, compound preparations and structural modification of matrine were mainly discussed, aiming to provide a theoretical basis for the clinical application of Sophora Flavescens and the development of new drugs.
Sophora Flavescens is the dried root of the leguminous plant Sophora Flavescens Ait. It was first published in Shen Nong's Herbal Classic. Sophora Flavescens contains a variety of active ingredients, mainly including matrine and oxymatrine, with anti-inflammatory, anti-tumor, anti-arrhythmia, disease-resistant pathogenic microorganisms and other pharmacological effects. Clinically, the compound preparations of Sophora Flavescens include Compound KuShen injection and KuShen gel and so on, which can be used to treat many types of cancers and improve skin, mucous pruritus, pain and other symptoms. Due to the poor bioavailability, the structure of matrine needs to be reformed. MASM, matrine derivative, only needs a low concentration to have a good therapeutic effect on sepsis and liver fibrosis. In this article, the chemical composition, pharmacological effects, compound preparations and structural modification of matrine were mainly discussed, aiming to provide a theoretical basis for the clinical application of Sophora Flavescens and the development of new drugs.
2025, 43(4): 163-168, 194.
doi: 10.12206/j.issn.2097-2024.202406035
Abstract:
Matrine is an alkaloid compound isolated and extracted from the traditional Chinese medicinal plant Sophora flavescens, which has anti-tumor, anti-inflammatory, and anti-viral effects. However, its clinical application has been limited due to its low in vivo activity, short duration of efficacy, and significant toxic side effects. In response to this challenge, pharmaceutical experts modified the structure of Matrine to obtain derivatives that addressed its limitations. Currently, research on the anti-tumor effects of Matrine and its derivatives is more prevalent, while research in inflammatory-related diseases still needs further strengthening.The progress on the role and mechanism of Matrine and its derivatives in inflammatory diseases were summarized in this paper, which offered valuable insights for the development of therapeutic agents based on Matrine.
Matrine is an alkaloid compound isolated and extracted from the traditional Chinese medicinal plant Sophora flavescens, which has anti-tumor, anti-inflammatory, and anti-viral effects. However, its clinical application has been limited due to its low in vivo activity, short duration of efficacy, and significant toxic side effects. In response to this challenge, pharmaceutical experts modified the structure of Matrine to obtain derivatives that addressed its limitations. Currently, research on the anti-tumor effects of Matrine and its derivatives is more prevalent, while research in inflammatory-related diseases still needs further strengthening.The progress on the role and mechanism of Matrine and its derivatives in inflammatory diseases were summarized in this paper, which offered valuable insights for the development of therapeutic agents based on Matrine.
2025, 43(4): 169-173.
doi: 10.12206/j.issn.2097-2024.202409060
Abstract:
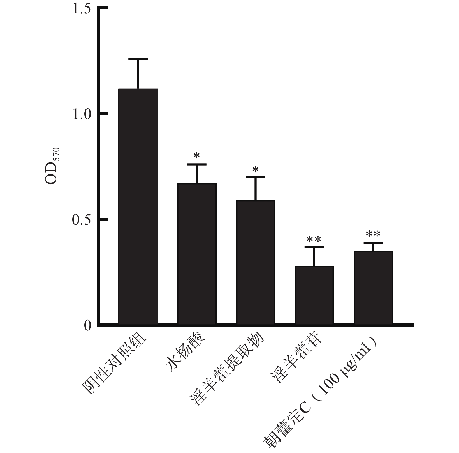
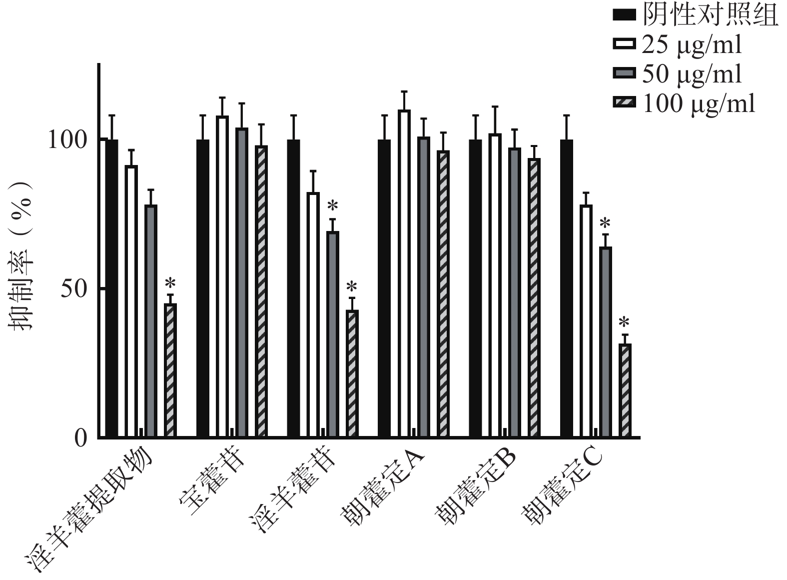
Objective To identify flavonoid glycosides with quorum sensing inhibitory activity from Epimedium brevicornum and evaluate their bioactivity. Methods The minimum inhibitory concentrations (MICs) of five major flavonoid glycosides (baohuoside, icariin, epimedin A/B/C) and the extract of E. brevicornum were firstly determined. Subsequently, the inhibitory effects on the production of purple pigments in Chromobacterium violaceum CV026 were measured. Additionally, the biofilm formation and chitin quantification of Pseudomonas aeruginosa PAO1 were assessed. Results The extract of E. brevicornum and its primary components exhibited significant quorum sensing inhibitory activity. Particularly, icariin and epimedin C demonstrated superior inhibitory activity. Conclusion E. brevicornum demonstrates the ability to inhibit the quorum sensing system of Chromobacterium violaceum CV026 and Pseudomonas aeruginosa PAO1. Furthermore, icariin and epimedin C (100 μg/ml) show promise for development into novel drugs for quorum sensing inhibitor.
2025, 43(4): 174-179.
doi: 10.12206/j.issn.2097-2024.202404069
Abstract:
Objective The complex evolutionary history of the origin of medicinal blue herbs might result in the presence of adulterants, affecting the accuracy and safety of clinical medication. To provide a reference basis for the identification of medicinal blue herbs with leaves as the medicinal part, based on the leaf epidermis microstructure. Methods The species belonging to medicinal blue herbs and their close relatives (10 species from 4 genera) were systematically investigated. The leaf epidermis microstructure of these species was observed and analyzed by optical microscopy and scanning electron microscopy. A species retrieval table was established based on the microstructure characteristics. Results By combining the distribution of stomata, types of subsidiary cells, stomatal index, stomatal density, characteristics of the periclinal walls of epidermal cells, and epidermal appendages, the species Clerodendrum cyrtophyllum, Polygonum tinctorium, Isatis indigotica, I. violascens, I. costata, I. minima, Strobilanthes wallichii, S. dalzielii, S. pentstemonoides, and S. cusia can be accurately distinguished. Conclusion Microscopic characteristics of leaf epidermis can provide reference data for accurately differentiating the botanical origins of medicinal blue herbs.
2025, 43(4): 180-184.
doi: 10.12206/j.issn.2097-2024.202409055
Abstract:
Objective To investigate the effect of spontaneous hypertension on the remodeling of cardiac and aortic tissues in rats, with special attention to the changes in the content of collagen fibers, elastic fibers and secreted Frizzled-related protein 2 (sFRP2) in cardiac and aortic tissues. Methods 28-week-old SHR rats (Spontaneously Hypertensive rats) and WKY (Wistar-Kyoto rats) of the same age were selected as experimental animals. Cardiac load was assessed by calculating the cardiac weight index. Collagen fibers and elastic fibers were isolated from the rat thoracic aorta by hot alkali method, and their content was determined by biochemical analysis. In addition, pathological evaluation of tissue sections of the left ventricle and thoracic aorta were performed by H&E staining, Sirius red staining, and lichen red staining. Western blotting was used to determine the expression level of sFRP2 protein in cardiac tissues. Results Compared with WKY rats, the heart weight index of SHR rats increased significantly (P<0.001), and the results of biochemical analysis and staining of pathological sections showed that the content of collagen fibers in the aorta in the SHR group was higher than that in the WKY group, while the content of elastic fibers was lower, but the difference did not have statistical significance. The content of collagen fibers in the heart of the SHR group was significantly higher than that in the WKY group (P<0.01). Western blotting showed that there was no significant difference in the expression level of sFRP2 protein in heart tissues between the two groups. Conclusion The remodeling of cardiac and aortic tissues in a rat model of spontaneous hypertension may involve complex molecular mechanisms, not just changes in the content of collagen fibers and elastic fibers. The detailed mechanism of the progression of spontaneous hypertension and target organs damage still need further investigation.
2025, 43(4): 185-189.
doi: 10.12206/j.issn.2097-2024.202401072
Abstract:
Objective To establish a method for rapid detection of tramadol in urine by liquid-liquid extraction(LLE)-surface-enhanced Raman spectroscopy (SERS). Methods Tramadol was extracted from urine with chloroform∶isopropyl alcohol (9∶1) extractant and detected in urine samples by enhanced Raman spectroscopy (wavelength 785 nm). Results The quantitative curve of tramadol was Y=204.35 X−465.62, r=0.9952 , and the linear range was 1-100 μg/ml. The detection limit of tramadol by this method (S/N=3) was 0.53 μg/ml. The sensitivity of SERS was higher than that of conventional methods, and it had reasonable reproducibility. Conclusion This method is simple, efficient and economical, and can be used for qualitative and quantitative analysis of tramadol personalized medicine.
2025, 43(4): 190-194.
doi: 10.12206/j.issn.2097-2024.202403059
Abstract:
Objective To establish the functional constipated mouse model by compound diphenoxylate, and explore the anti-constipation effect of black garlic polysaccharide. Methods Mouse small intestine ink propulsion experiment and mouse defecation experiment were carried out respectively. The mice in each experiment were randomly divided into blank group, model group, positive group and black garlic polysaccharide (0.25, 0.5, 1 g/kg) groups. Mice in blank group and model group were given distilled water, and in positive group were given lactulose oral solution. Compound diphenoxylate (5 mg/kg) was intragastric administrated after 1 week of administration, and small intestine propulsion experiment and defecation experiment were conducted respectively. Results Compared with model group, intestinal propulsion rate of black garlic polysaccharide groups was significantly increased and first dejection time was significantly shorten, and the number, weight and fecal water content increased significantly at 6 h in middle and high dose groups. Conclusion Black garlic polysaccharide could promote intestinal propelling, shorten defecation time and increase fecal water content.
2025, 43(4): 195-199.
doi: 10.12206/j.issn.2097-2024.202410019
Abstract:
Objective To provide theoretical basis for the clinical application of the rational compatibility of C. odorata by studying the related domestic and international literature and explore the properties of C. odorata according to the theory of Traditional Chinese Medicine. Methods The medical literature related to C. odorata was retrieved and screened from CNKI, VIP, Wanfang Data, China Biomedical Literature Database and foreign literature databases such as PubMed, Web of Science, Scopus, Embase, and SciFinder. A total of 397 English articles and 50 Chinese articles were included in the study, which were systematically classified according to clinical application, chemical composition, pharmacological effect, toxic and side effects, and were analyzed according to the theory of Traditional Chinese Medicine. Results C. odorata features spicy, astringent tastes, a cool nature, entering heart and liver meridians, and a slightly toxic.Its functions included astringing to stop bleeding, detoxifying and promoting tissue regeneration, as well as intercepting malaria and killing parasites. It was used for conditions such as hematemesis, haemoptysis, traumatic bleeding, sores and abscesses, malaria, and leech bites. Conclusion The exploration of the properties and efficacy of C. odorata could provide reference for its clinical research and application in Traditional Chinese Medicine.
2025, 43(4): 200-204.
doi: 10.12206/j.issn.2097-2024.202404041
Abstract:
Objective To analyze the characteristics of adverse drug reactions (ADR) reported in Sixth People’s Hospital South Campus, Shanghai Jiaotong University from 2021 to 2023, to provide reference for promoting rational clinical drug use. Methods ADR data reported in our hospital were collected retrospectively, including patients’ basic information, drugs causing adverse reactions, types of adverse reactions and outcomes. Descriptive analysis methods were used to summarize and analyze the data. Results A total of 979 cases of ADR were reported in our hospital from 2021 to 2023. The highest proportion of patients with ADR occurred in the age range of 31 to 50, and more male patients (63.5%). The top five drugs involved with adverse reactions were antibiotics (48.8%), Chinese medicine injections(19.2%), vitamins(7.5%), Chinese traditional medicine(7.2%), equine tetanus immunoglobulin(6.3%). Among antibiotics, cefuroxime, ceftazidime and cefotiam were the majority. The organs/systems involved in all ADR were mainly skin and accessories damage (55.4%). The clinical manifestations were rash, itching, and maculopapular rash. Conclusion From 2021 to 2023, the most common drugs causing adverse drug reactions in our hospital were mainly antibacterial drugs, and the rational clinical use of antibacterial drugs still needs to be concerned.
Contribution System
Author Login
Review Login
Editor Login
Reader Login



News