Message Board

Respected readers, authors and reviewers, you can add comments to this page on any questions about the contribution, review,        editing and publication of this journal. We will give you an answer as soon as possible. Thank you for your support!

Name
E-mail
Phone
Title
Content
Verification Code
Volume 46 Issue 4
Apr.  2026
Turn off MathJax
Article Contents

ZHANG Tingting, HUANG Jingjing, LIANG Jinglei, PANG Tao, CHEN Wansheng, ZHANG Feng. Differential analysis of saponins in Platycodon grandiflorus from different origins based on ultra-high performance liquid chromatography-mass spectrometry[J]. Journal of Pharmaceutical Practice and Service, 2026, 44(4): 189-199, 208. doi: 10.12206/j.issn.2097-2024.202506026
Citation: ZHANG Tingting, HUANG Jingjing, LIANG Jinglei, PANG Tao, CHEN Wansheng, ZHANG Feng. Differential analysis of saponins in Platycodon grandiflorus from different origins based on ultra-high performance liquid chromatography-mass spectrometry[J]. Journal of Pharmaceutical Practice and Service, 2026, 44(4): 189-199, 208. doi: 10.12206/j.issn.2097-2024.202506026

Differential analysis of saponins in Platycodon grandiflorus from different origins based on ultra-high performance liquid chromatography-mass spectrometry

doi: 10.12206/j.issn.2097-2024.202506026
  • Received Date: 2025-06-22
  • Accepted Date: 2026-03-05
  • Rev Recd Date: 2026-01-22
  • Available Online: 2026-04-17
  • Publish Date: 2026-04-25
  •   Objective  To establish a highly efficient and sensitive technical system for the identification and analysis of platycodin-type saponins, systematically compare the differences in platycodin-type saponins among Platycodon grandiflorum from different producing areas, and provide scientific references for the screening of high-quality Platycodon grandiflorum resources, authenticity evaluation, and construction of standardized quality control systems.   Methods  A total of 45 batches of P. grandiflorum medicinal materials from 3 producing areas (Anhui, Henan, and Jilin, with 15 batches per area) were selected as research objects. Qualitative identification and semi-quantitative analysis of saponin components were performed based on ultra-high performance liquid chromatography-quadrupole-time-of-flight tandem mass spectrometry (UHPLC-Q-TOF/MS) technology. Meanwhile, two multivariate statistical methods, principal component analysis (PCA) and partial least squares-discriminant analysis (PLS-DA), were combined to analyze the differences in platycodin-type saponins of Platycodon grandiflorus from different producing areas.   Results  A total of 28 saponin components were identified from Platycodon grandiflorus of the three producing areas. PCA results showed that there were minor differences in platycodin-type saponins between Henan Platycodon grandiflorus and Jilin Platycodon grandiflorus, while Anhui P. grandiflorum exhibited significant differences from both. PLS-DA further screened 15 major differential compounds. Among them, the contents of 6 components including 3''-O-acetylpolygalacin D2 and platycodin H in Anhui Platycodon grandiflorus were higher than those in Henan and Jilin Platycodon grandiflorus; platycodigenic acid A had the highest content in Jilin Platycodon grandiflorus; the contents of platycodin D3, polygalacin J, and polygalacin D were relatively higher in Henan Platycodon grandiflorus.   Conclusion  This study clarified the characteristic differences in core components of Platycodon grandiflorus from the three major producing areas, which provided an important theoretical basis for the screening of high-quality Platycodon grandiflorus resources, elucidation of the mechanism underlying its authenticity, and construction of a standardized quality control system.
  • [1] 刘春娟, 张波. 桔梗的真伪鉴别和质量评价方法研究进展[J]. 中国药房, 2021, 32(11): 1403-1408.
    [2] 邓亚羚, 任洪民, 叶先文, 等. 桔梗的炮制历史沿革、化学成分及药理作用研究进展[J]. 中国实验方剂学杂志, 2020, 26(2): 190-202. doi:  10.13422/j.cnki.syfjx.20191946
    [3] 李超, 张欢, 汲晨锋. 桔梗化学成分、药理作用及现代应用研究进展[J]. 中国药学杂志, 2025, 60(1): 9-20.
    [4] 方香香, 黄碧涛, 曾金祥, 等. 不同产地桔梗药材中总皂苷及桔梗皂苷D的含量比较[J]. 中国实验方剂学杂志, 2016, 22(1): 78-81. doi:  10.13422/j.cnki.syfjx.2016010078
    [5] 谭玲玲, 侯晓敏, 胡正海. 不同产地桔梗药材中桔梗总皂苷和桔梗皂苷D的测定[J]. 中草药, 2015, 46(11): 1682-1684. doi:  10.7501/j.issn.0253-2670.2015.11.023
    [6] 张迟, 黄戎婕, 曾金祥, 等. 不同产地桔梗HPLC指纹图谱及化学模式识别研究[J]. 天然产物研究与开发, 2020, 32(8): 1269-1277. doi:  10.16333/j.1001-6880.2020.8.001
    [7] 洪挺, 章瑛, 周志强, 等. HPLC-ELSD测定桔贝合剂中桔梗皂苷D含量[J]. 药品评价, 2022, 19(7): 394-398. doi:  10.19939/j.cnki.1672-2809.2022.07.03
    [8] 赵新悦, 刘蕊, 冯红, 等. 基于化学计量学结合HPLC指纹图谱评价桔梗药材质量[J]. 天然产物研究与开发, 2020, 32(9): 1491-1498. doi:  10.16333/j.1001-6880.2020.9.006
    [9] 秦艳, 陶佳佳, 沈赟, 等. 三色片醇提物抗补体活性物质的UPLC-Q-TOF-MS/MS研究[J]. 药学实践杂志, 2021, 39(4): 322-330.
    [10] 陶朝阳, 邢心睿, 陈思, 等. 联用超高效液相色谱-高分辨飞行时间质谱技术对扶正化瘀胶囊化学成分快速鉴别[J]. 药学实践杂志, 2019, 37(5): 406-415.
    [11] 刘红霞, 孙延文, 韩菲, 等. UPLC-MS/MS法测定复方地黄合剂中10种指标性成分的含量[J]. 药学实践与服务, 2025, 43(8): 390-394.
    [12] 赵雪, 顾妍秋, 楚皓文, 等. 基于超高效液相色谱-四极杆飞行时间质谱的麻杏石甘汤化学成分分析[J]. 药学实践与服务, 2025, 43(11): 548-554,571.
    [13] 刘哲, 刘孟奇, 黄艳梅, 等. 基于多指标成分定量结合化学计量学评价不同产地和不同采收期桔梗质量[J]. 中草药, 2024, 55(13): 4516-4525.
    [14] 徐善传. 桔梗的生态习性及林下栽培技术[J]. 现代农业科技, 2021(9): 71-72.
    [15] 国家药典委员会. 中华人民共和国药典(一部)2020年版[S]. 北京: 中国医药科技出版社, 2020: 289.
    [16] 郑亚文, 杨潇, 严一字, 等. 桔梗皂苷的研究进展[J]. 食品与机械, 2025, 41(2): 206-215.
    [17] 刘长蕾, 朴泓洁, 文宇萍, 等. 不同产地桔梗片的营养成分分析[J]. 延边大学农学学报, 2025, 47(1): 8-15.
    [18] SHANG Y F, CHEN H, NI Z J, et al. Platycodon grandiflorum saponins: Ionic liquid-ultrasound-assisted extraction, antioxidant, whitening, and antiaging activity[J]. Food Chem, 2024, 451: 139521. doi:  10.1016/j.foodchem.2024.139521
    [19] 孙萍, 徐慧, 王珊珊, 等. 响应面法优化桔梗总皂苷微波提取工艺及其抗炎活性分析[J]. 粮食与油脂, 2024, 37(8): 94-99. doi:  10.3969/j.issn.1008-9578.2024.08.018
    [20] 阿丽娅·阿卜杜热依木. 基于味觉指标的桔梗道地性评价研究[D]. 天津: 天津中医药大学, 2024.
    [21] 黄澜, 张金瑞. 不同产地中药桔梗中5种桔梗皂苷含量的测定[J]. 中国药物评价, 2022, 39(6): 473-477.
    [22] 孙雨默, 程林, 韩梅, 等. 不同产地桔梗皂苷生物合成与土壤元素关系的研究[J]. 中草药, 2022, 53(15): 4844-4852. doi:  10.7501/j.issn.0253-2670.2022.15.028
    [23] 邓怡芳, 刘权震, 田甜, 等. 不同产地加工方式对桔梗质量的影响[J]. 中国现代中药, 2024, 26(8): 1374-1381.
    [24] 傅增辉, 金艳, 王春影, 等. 桔梗皂苷D对Aβ25-35诱导的SH-SY5Y细胞线粒体自噬和凋亡的保护作用[J]. 医学研究与战创伤救治, 2024, 37(12): 1292-1298. doi:  10.16571/j.cnki.2097-2768.2024.12.011
    [25] 穆秉桃, 郭敏芳, 于婧文, 等. 远志皂苷元改善脂多糖诱导的BV2小胶质细胞炎症反应的机制[J/OL]. 解放军医学杂志, 2024: 1-13[2024-09-06]. https://kns.cnki.net/KCMS/detail/detail.aspx?filename=JFJY20240905001&dbname=CJFD&dbcode=CJFQ.
    [26] 钟渊涵, 王玲珑, 邱自超, 等. 基于代谢组学的去芹糖桔梗皂苷D镇咳祛痰机制研究[J]. 药学学报, 2022, 57(10): 3186-3194.
    [27] LIU L L, YAO Z H, ZHANG H Y, et al. Deapi-platycodin D3 attenuates osteoarthritis development via suppression of PTP1B[J]. J Bone Miner Res, 2024, 39(11): 1673-1687. doi:  10.1093/jbmr/zjae149
    [28] 刘艳, 王宇瑄, 刘培, 等. 桔梗中三萜皂苷类化学成分研究[J]. 中药材, 2024, 47(8): 1957-1965.
    [29] 笔雪艳, 胡畔, 张胜波, 等. 用超高效液相色谱蒸发光散射检测桔梗流浸膏指纹图谱的研究[J]. 药学实践杂志, 2015, 33(2): 153-155.
    [30] 井亚江, 王七龙, 黄建萍, 等. 桔梗质量标志物筛选[J]. 中成药, 2024, 46(10): 3393-3399.
  • 加载中
通讯作者: 陈斌, bchen63@163.com
  • 1. 

    沈阳化工大学材料科学与工程学院 沈阳 110142

  1. 本站搜索
  2. 百度学术搜索
  3. 万方数据库搜索
  4. CNKI搜索

Figures(9)  / Tables(1)

Article Metrics

Article views(2647) PDF downloads(25) Cited by()

Related
Proportional views

Differential analysis of saponins in Platycodon grandiflorus from different origins based on ultra-high performance liquid chromatography-mass spectrometry

doi: 10.12206/j.issn.2097-2024.202506026

Abstract:   Objective  To establish a highly efficient and sensitive technical system for the identification and analysis of platycodin-type saponins, systematically compare the differences in platycodin-type saponins among Platycodon grandiflorum from different producing areas, and provide scientific references for the screening of high-quality Platycodon grandiflorum resources, authenticity evaluation, and construction of standardized quality control systems.   Methods  A total of 45 batches of P. grandiflorum medicinal materials from 3 producing areas (Anhui, Henan, and Jilin, with 15 batches per area) were selected as research objects. Qualitative identification and semi-quantitative analysis of saponin components were performed based on ultra-high performance liquid chromatography-quadrupole-time-of-flight tandem mass spectrometry (UHPLC-Q-TOF/MS) technology. Meanwhile, two multivariate statistical methods, principal component analysis (PCA) and partial least squares-discriminant analysis (PLS-DA), were combined to analyze the differences in platycodin-type saponins of Platycodon grandiflorus from different producing areas.   Results  A total of 28 saponin components were identified from Platycodon grandiflorus of the three producing areas. PCA results showed that there were minor differences in platycodin-type saponins between Henan Platycodon grandiflorus and Jilin Platycodon grandiflorus, while Anhui P. grandiflorum exhibited significant differences from both. PLS-DA further screened 15 major differential compounds. Among them, the contents of 6 components including 3''-O-acetylpolygalacin D2 and platycodin H in Anhui Platycodon grandiflorus were higher than those in Henan and Jilin Platycodon grandiflorus; platycodigenic acid A had the highest content in Jilin Platycodon grandiflorus; the contents of platycodin D3, polygalacin J, and polygalacin D were relatively higher in Henan Platycodon grandiflorus.   Conclusion  This study clarified the characteristic differences in core components of Platycodon grandiflorus from the three major producing areas, which provided an important theoretical basis for the screening of high-quality Platycodon grandiflorus resources, elucidation of the mechanism underlying its authenticity, and construction of a standardized quality control system.

ZHANG Tingting, HUANG Jingjing, LIANG Jinglei, PANG Tao, CHEN Wansheng, ZHANG Feng. Differential analysis of saponins in Platycodon grandiflorus from different origins based on ultra-high performance liquid chromatography-mass spectrometry[J]. Journal of Pharmaceutical Practice and Service, 2026, 44(4): 189-199, 208. doi: 10.12206/j.issn.2097-2024.202506026
Citation: ZHANG Tingting, HUANG Jingjing, LIANG Jinglei, PANG Tao, CHEN Wansheng, ZHANG Feng. Differential analysis of saponins in Platycodon grandiflorus from different origins based on ultra-high performance liquid chromatography-mass spectrometry[J]. Journal of Pharmaceutical Practice and Service, 2026, 44(4): 189-199, 208. doi: 10.12206/j.issn.2097-2024.202506026
  • 桔梗为桔梗科植物桔梗Platycodon grandiflorus(Jacq.)A.DC.的干燥根,是一种药食同源类中药[1-2]。桔梗所含的皂苷类成分作为从桔梗中分离得到的代表性成分,已被证明具有多种药理活性[3]。生态条件差异会影响桔梗中的皂苷类成分含量,从而导致药材质量存在差异[4]。目前对不同产地桔梗皂苷类化学成分的研究缺少系统全面的差异性分析[5-6]。例如,南北产地桔梗皂苷谱差异显著,南方产桔梗中桔梗皂苷D、去芹糖桔梗皂苷D等活性成分含量普遍高于北方,而华东产区(如安徽、山东)因独特的地理环境常被视为优质桔梗的主产区[3]

    桔梗皂苷类成分种类复杂,传统分析方法如高效液相色谱-蒸发光散射检测器(HPLC-ELSD)法存在紫外吸收弱、依赖对照品等局限性[7-8]。超高效液相色谱-四极杆-飞行时间串联质谱(UHPLC-Q-TOF/MS)凭借其高分辨率、高灵敏度及代谢物定性能力,可同时鉴定多种类皂苷并解析其结构特征,可以提供更全面、更准确的信息而广泛应用于中药复杂成分体系的分析[9-12]。故本研究拟通过UHPLC-Q-TOF/MS技术结合多元统计法对安徽、河南、吉林3个产地桔梗所含的皂苷成分进行差异性分析,以期为桔梗资源开发利用及质量控制提供理论依据。

    • Agilent 1290 Infinity型超高效液相色谱和Agilent 6530型四极杆-飞行时间串联质谱仪(美国Agilent公司);CPA255D型1/10万电子天平(德国Sartorius公司);Lyovapor L-200冷冻干燥机(瑞士BUCHI公司);Eppendorf mini spin离心机、Eppendorf 5430r离心机(德国Eppendorf公司);SK7200H型超声波清洗器(上海科导超声仪器有限公司);Milli-Q型纯化水系统(美国Millipore公司);HC-800Y 高速多功能粉碎机(武义海纳电器有限公司)。

    • 桔梗药材共采集45批,分别采自安徽(编号AH1~AH15)、河南(编号HN1-HN15)、吉林(编号JL1~JL15),每个产地各15批次。以上样品均经上海中医药大学中药学院孙连娜副教授鉴定为桔梗科植物桔梗Platycodon grandiflorum(Jacq.)A.DC.的干燥根。桔梗皂苷D3(批号:F854755)、桔梗皂苷D(批号:F310822)、远志皂苷D(批号:F074980)(纯度均>98%,购自上海一飞生物科技有限公司);华法林(批号:DRE-C17940000,购自德国埃伦斯托弗博士有限公司);去芹糖桔梗皂苷D2、桔梗酸A内酯、桔梗皂苷G3、桔梗皂苷C、16-氧代桔梗皂苷D对照品为实验室前期从桔梗药材中分离得到,经液相检测,所有对照品纯度均>98%。甲醇、乙腈(质谱级试剂,德国Merck公司);甲酸(质谱级试剂,美国Fisher公司);无水乙醇(分析纯试剂,国药集团化学试剂有限公司);屈臣氏纯净水(屈臣氏公司);其他均为分析纯试剂。

    • 精密称定河南、安徽、吉林3个产地的桔梗药材粉末(过40目筛)各1.00 g至具塞锥形瓶中,精密加入70%甲醇(含100 ng/ml华法林,内标)25 ml,密塞、称定重量,超声45 min,冷却,70%甲醇补足失重,滤过,3 000 rpm 离心 10 min,取上清液1.0 ml于 1.5 ml EP 管中,12 000 rpm 离心 10 min,取 200 μl上清液于进样小瓶中,待进样分析,每份样品平行制备3份。

    • 精密称取桔梗皂苷D3、桔梗皂苷D、远志皂苷D、去芹糖桔梗皂苷D2、桔梗酸A内酯、桔梗皂苷G3、桔梗皂苷C、16-氧代桔梗皂苷D等对照品适量,加入甲醇分别配制成浓度为1.0 mg/ml的对照品储备液,−20℃冰箱保存备用。精密吸取上述储备溶液各10 μl,置于1.5 ml 离心管中,加入甲醇,涡旋 60 s 混匀,配制成各对照品浓度均为10 μg/ml 的混合对照品溶液。

    • 色谱柱:Waters ACQUITY UPLC BEH C18色谱柱(2.1 mm×100 mm,1.7 μm);流动相:0.1%甲酸水(A)-乙腈(B);流速:0.3 ml/min;柱温:35℃;进样量:1 μl;检测波长:210 nm、254 nm;梯度洗脱条件:0~2 min,0~2%(B);2~6 min,2%~15%(B); 6~15 min,15%~40%(B);15~29 min,40%~95%(B);29~30 min,95%~95%(B)。

    • 采用电喷雾离子源(ESI),分别在正、负离子模式下采集数据;数据采集范围m/z 100~1 700,离子源温度350℃;毛细管电压4.0 kV(正离子)、3.5 kV(负离子);雾化气压力45 Psi,干燥气流速11 L/min;鞘气流速11 L/min,鞘气温度350℃;碎片电压140 V,碰撞能量30 V。

    • 采用UHPLC-Q-TOF/MS技术,在“1.2.2”项下条件对供试品溶液以及对照品溶液进行检测,得到正离子模式总离子流色谱图。通过Pubmed、ELSEVIER、Web of Science、CNKI、TCMSP 等中英文在线数据库,检索桔梗中已知的皂苷类化学成分,并将其化学名称、分子式、精确分子量、离子碎片等信息进行汇总,构建桔梗中皂苷类化学成分的数据库。利用Mass Hunter 10.0、MS DIAL 4.60和MS FINDER 3.50等软件,结合对照品及构建的数据库对目标化合物的一、二级质谱信息进行比对,对不同产地桔梗中皂苷类成分进行鉴定。

    • 使用 AnalysisBase File Converter 软件将质谱数据转换为abf格式。利用MS-DIAL ver. 4.70 软件对原始数据进行背景扣除与峰对齐处理,并选用华法林为内标进行峰面积归一化分析,根据EIC模式下的峰面积值计算每种化合物的峰面积。将数据导入Metaboanalyst 5.0中进行主成分分析(PCA)。以28种成分的相对含量为评价指标,对3个产地45批样本进行热图展示,比较不同产地样品中皂苷类成分的相对含量差异;为了更好地获取不同组间的差异信息,进一步对不同产地样品进行了偏最小二乘判别分析(PLS-DA),并以投影重要性变量(VIP)值>1为标准筛选差异成分。

      相对含量方法基于组分的内标归一化,各皂苷成分的相对含量计算方法如下:

      其中:A皂苷表示皂苷成分的质谱峰面积;A内标表示内标物的质谱峰面积;f表示皂苷与内标物的相对校正因子。

    • 利用GraphPad Prism 8.0.2 软件,计量资料以($ \bar{x} $±s)方式记录。多组间比较若数据符合正态分布且方差齐性,则采用双尾单因素ANOVA分析,若不符合正态分布,则采用非参数Kruskal-Wallis检验,以P<0.05认为有统计学差异。

    • 对3个产地的桔梗进行UHPLC-Q-TOF/MS分析,正离子模式下的总离子流图见图1。结果显示,正离子模式下3个产地桔梗的总离子流图相似,但是个别色谱峰的相应强度存在明显的差别,这表明来自3个产地的桔梗所含的成分类似,但是在含量上存在差异。

    • 利用Mass Hunter 10.0、MS DIAL 4.60和MS FINDER 3.50等软件,结合对照品及构建的数据库对目标化合物的一、二级质谱信息进行比对,对不同产地桔梗中皂苷类成分进行鉴定。在正离子模式下共鉴定出来自3个产地桔梗的28种皂苷类成分(见表1),有8种成分为经对照品比对所得(见图2);其中桔梗皂苷型化合物最多,共14种,远志皂苷型化合物次之,此外还含有少量桔梗皂苷内酯型、桔梗二酸型、其他非典型三萜皂苷等成分(表1)。这28种成分在各产地桔梗中均被识别到,表明不同产地桔梗在皂苷成分的类别上具有一定的相似性。

      序号 名称 分子式 相对保留
      时间(t/min)
      m/z 加合离子 MS/MS 质量 误差
      (±ppm)
      类型
      1 桔梗皂苷A C42H68O16 10.511 851.4460 [M+Na]+ 667.324[M+H-C6H10O5]+ 828.4486 −2.31 其他非典型三萜化合物
      2 桔梗皂苷G2 C59H96O30 10.578 1307.587 [M+Na]+ 1029.344[M+Na-C11H18O8]+,521.331[M+H-C29H48O23]+ 1284.5971 −1.18 桔梗皂苷型
      3 去芹糖桔梗皂苷E C64H104O34 10.619 1439.6305 [M+Na]+ 520.94[C30H48O7]+ 1416.64 −0.65 桔梗皂苷型
      4 桔梗皂苷E C69H112O38 10.759 1587.6449 [M+Na]+ 1439.317[M+Na-C5H8O4]+ 1571.48 1.04 桔梗皂苷型
      5 远志皂苷I C64H104O33 10.779 1423.6349 [M+Na]+ 1029.286[M+K-C16H36O12]+,469.320
      [M+H-C37H46O23]+
      1400.6461 0.05 远志皂苷型
      6* 去芹糖桔梗皂苷D2 C58H94O29 11.490 1277.5774 [M+Na]+ 799.684[M+H-C17H28O14]+ 1254.5873 −0.62 桔梗皂苷型
      7* 桔梗皂苷D3 C63H102O33 11.647 1409.6212 [M+Na]+ 867.113[M+Na-C21H34O16]+ 1386.6308 0.30 桔梗皂苷型
      8* 远志酸A
      内酯
      C30H44O7 11.723 517.3165 [M+H]+ 480.601 [M+H-H2O]+, 462 [M+H-2H2O]+ 516.309 0.52 桔梗皂苷
      内酯型
      9 桔梗皂苷H C58H94O28 11.784 1261.5813 [M+Na]+ 829.632[M+H-C16H26O12]+,527.796
      [M+Na-C28H46O22]+
      1238.5909 −1.84 桔梗皂苷型
      10 3"-O - 乙酰桔梗皂苷 D2 C65H104O33 11.795 1451.6289 [M+Na]+ 851.721[M+Na-C23H36O17]+ 1428.6351 −4.03 桔梗皂苷型
      11* 桔梗皂苷G3 C63H102O32 11.931 1393.6238 [M+Na]+ 851.733[M+Na-C21H34O16]+ 1370.6327 −1.99 桔梗皂苷型
      12 桔梗皂苷M-1 C36H54O12 12.655 679.3689 [M+H]+ 517.377[M+H-C6H10O5]+ 678.3608 −1.01 桔梗皂苷
      内酯型
      13 桔梗皂苷F C47H76O20 12.698 983.4817 [M+Na]+ 705.354[M+H-C11H20O8]+ 960.492 −1.04 桔梗皂苷型
      14 去芹糖桔梗皂苷D C52H84O24 12.729 1115.5254 [M+Na]+ 521.374[M+H-C22H36O17]+ 1092.5353 0.02 桔梗皂苷型
      15* 桔梗皂苷C C54H86O25 12.857 1157.5354 [M+Na]+ 683.654[M+H-C18H28O13]+,521.372
      [M+H-C24H38O18]+
      1134.5455 −0.30 桔梗皂苷型
      16* 桔梗皂苷D C57H92O28 12.862 1247.5669 [M+Na]+ 705.322[M+Na-C21H34O16]+ 1224.5768 −0.54 桔梗皂苷型
      17 桔梗皂苷B2 C41H66O15 12.866 799.4468 [M+H]+ 659.721[M+Na-C6H10O5]+ 798.4409 −1.87 其他非典型三萜化合物
      18 远志皂苷J C52H84O23 12.891 1099.5289 [M+Na]+ 505.432[M+H-C22H36O17]+ 1076.54 −0.27 远志皂苷型
      19 桔梗皂苷C C59H94O29 12.997 1289.5788 [M+Na]+ 705.397[M+Na-C23H36O17]+ 1266.5887 0.50 桔梗皂苷型
      20 3"-O - 乙酰远志皂苷D2 C65H104O33 12.997 1435.636 [M+Na]+ 867.132[M+Na-C23H36O17]+ 1412.6508 3.39 远志皂苷型
      21* 远志皂苷D C57H92O27 13.033 1231.5717 [M+Na]+ 469.286[M+H-C20H46O4]+,637.322[M+H-C22H36O17]+ 1208.5828 0.20 远志皂苷型
      22 桔梗二酸A
      内酯
      C57H88O28 13.089 1243.5356 [M+Na]+ 517.482[M+H-C27H44O21]+ 1220.5459 −0.25 桔梗二酸型
      23 桔梗皂苷J C57H90O29 13.098 1261.5464 [M+Na]+ 697.529[M+H-C21H34O16]+ 1238.5558 −0.95 桔梗皂苷型
      24 3″-O - 乙酰远志皂苷D C59H94O28 13.163 1273.582 [M+Na]+ 843.566[M+Na+
      C23H36O17]+
      1250.592 −0.94 远志皂苷型
      25 桔梗皂苷B C54H86O25 13.337 1157.5337 [M+Na]+ 723.651[M+Na-C18H28O13]+,557.681
      [M+H-C24H38O18]+
      1134.5431 −2.42 桔梗皂苷型
      26* 16 -氧代桔梗皂苷D C57H90O28 13.403 1245.5486 [M+Na]+ 823.18[M+Na-C16H26O12]+ 1222.5577 −3.41 其他非典型三萜化合物
      27 桔梗皂苷L C59H92O30 13.740 1303.5548 [M+Na]+ 687.03[M+Na-C23H36O17]+ 1280.5621 −4.09 桔梗皂苷型
      28 远志酸 C30H48O6 16.240 527.3331 [M+Na]+ 343.21[M+H-C6H10O5]+ 504.3438 −2.64 远志皂苷型
      注:*通过对照品比对。

      桔梗所含的皂苷类成分在质谱正离子模式下以[M+H]+、[M+Na]+为主,裂解方式主要以糖苷键的断裂,丢失糖分子为主;断裂后形成的苷元主要有桔梗皂苷型、远志皂苷型、桔梗内酯型。

      桔梗皂苷型成分以去芹糖桔梗皂苷D2为例,化合物6在保留时间11.490 min处被检出,其一级质谱信息中可观察到分子离子峰 m/z 1277.5774 [M+Na]+m/z 1293.5509 [M+K]+(见图3A)。在二级质谱信息中,该化合物通过逐级断裂糖苷键丢失糖分子,产生特征碎片离子799.684 [M+H-C17H28O14]+。将其与去芹糖桔梗皂苷D2对照品(保留时间11.493 min)比对,二者保留时间差值<0.15 min,且二级碎片离子(图3B)完全一致,故推测化合物6为桔梗皂苷型成分去芹糖桔梗皂苷D2(裂解途径图3C),二级碎片由该化合物C-3位和C-28位糖苷键断裂产生。桔梗皂苷型成分的裂解途径具有共性,例如桔梗皂苷 E 二级质谱信息中可观察到特征碎片 m/z 1439.317[M+Na-C5H8O4]+,桔梗皂苷B2二级质谱信息中可观察到特征碎片 m/z 659.721[M+Na-C6H10O5]+,均为该类型化合物C-3、C-28位糖苷键断裂后产生的典型碎片。

      远志皂苷型成分以远志皂苷D为例,化合物21在保留时间13.033 min处被检出,一级质谱信息呈现分子离子峰 m/z 1231.5717[M+Na]+。二级质谱信息显示,该化合物产生特征碎片离子 m/z 469.286[M+H-C20H46O4]+m/z 637.322[M+H-C22H36O17]+;与远志皂苷D对照品(保留时间13.097 min)比对,二者保留时间差值<0.15 min,且二级碎片离子完全匹配(见图4),故推测化合物21为远志皂苷型成分远志皂苷D(其质谱信息及裂解途径见图4C),二级质谱信息中的特征碎片离子为该化合物C-28位糖酯链优先脱落产生。远志皂苷型成分的裂解与远志皂苷D相似,例如远志皂苷J通过C-28位酯糖链优先脱落产生特征碎片,m/z 469.320[M+H-C37H46O23]+

      桔梗内酯型成分以桔梗二酸A内酯为例,化合物22可在13.089 min观察到m/z 1243.5356 [M+Na]+见(图5A),二级质谱信息可见m/z 517.482[M+H-C27H44O21]+图5B),为该化合物优先断裂C-3位糖苷键,产生C-28位含有内酯环的碎片离子;推测该化合物为桔梗皂苷内酯型成分—桔梗二酸A内酯(化合物质谱信息及裂解途径见图5C);桔梗内酯型成分的裂解途径具有共性,例如桔梗皂苷M-1的二级质谱信息中可观察到特征碎片m/z 517.377[M+H-C6H10O5]+,均为该类型化合物C-3位糖苷键断裂后的典型碎片离子。

    • 利用MS DIAL软件对识别出的桔梗皂苷类成分进行归一化处理,并将数据导入metaboanalyst 5.0中进行主成分分析。主成分分析结果显示(图6),安徽产地桔梗与河南、吉林产地桔梗差异明显,而河南、吉林产地桔梗差异较小,表明不同产地桔梗皂苷类成分存在差异。

    • 通过MetaboAnalyst 5.0软件对3个产地45批样本进行热图分析,以比较不同产地桔梗的所含皂苷类成分的相对含量。结果显示(图7),安徽产桔梗中3''-O-乙酰远志皂苷D2、桔梗皂苷H、桔梗皂苷L、3''-O-乙酰桔梗皂苷D2、远志皂苷G3等多种成分的含量高于河南、吉林桔梗;而河南桔梗与吉林桔梗具有一定相似性,桔梗皂苷F、桔梗二酸A内酯等成分的相对含量均较高,其中以吉林产区更为明显。以上结果表明,产地对桔梗中皂苷类成分的含量确有较大影响。

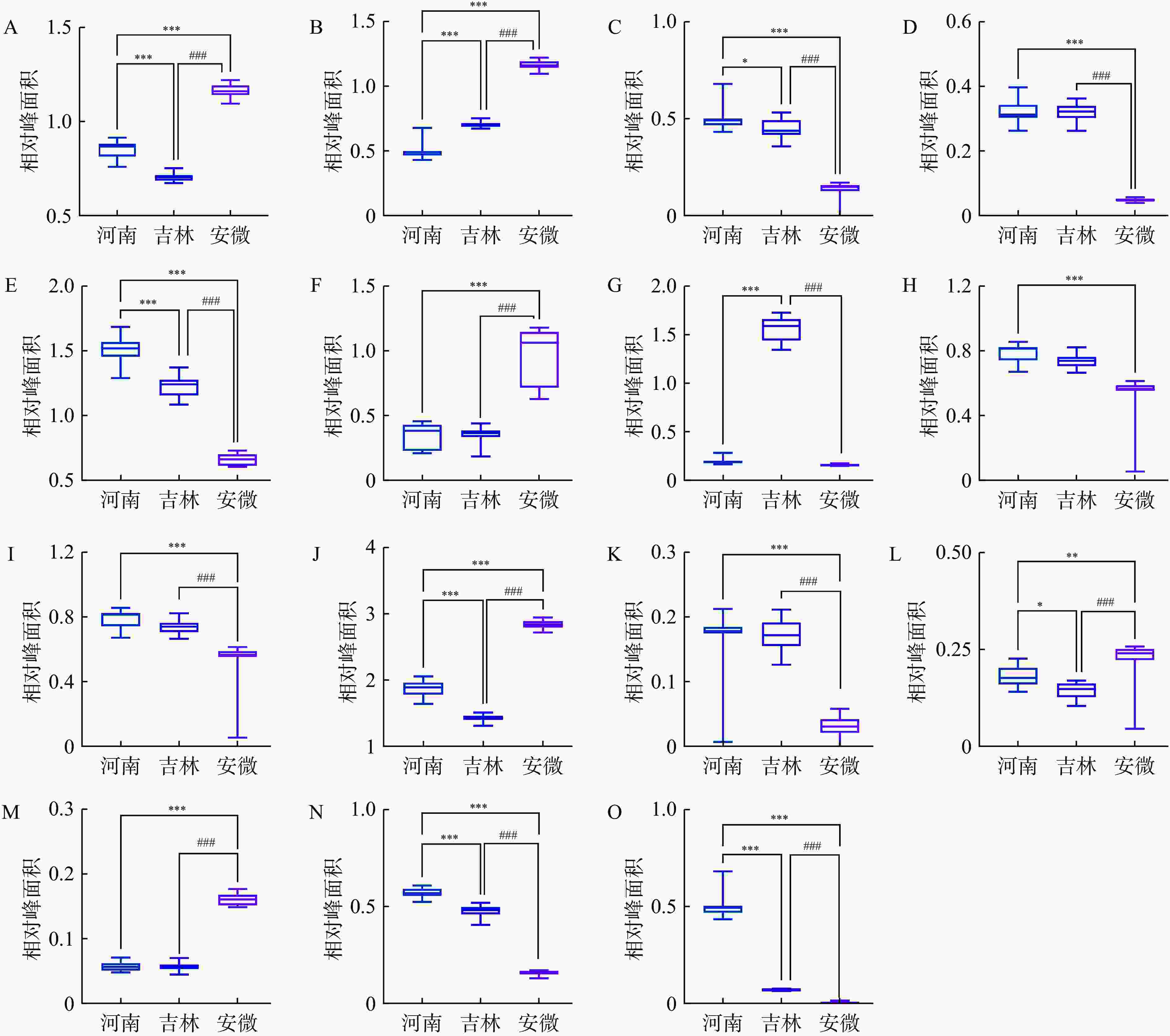
    • 在PCA分析的基础上,进一步对3个产地的桔梗皂苷类成分进行PLS-DA分析[13]。结果显示(图8),不同产地桔梗样品区分明显,共得到15种VIP值>1的差异成分,并且其中以去芹糖桔梗皂苷D2、桔梗皂苷J、桔梗皂苷L、桔梗皂苷F等的差异最为明显,而桔梗皂苷D作为中国药典收录的桔梗药材的质量评价成分,在各组间差异较小。

    • 从3个产地的桔梗中鉴定出了15个差异皂苷类成分,以差异成分在各组样品间内标归一化后的峰面积进行相对含量分析。来自3个产地的15种差异性成分的含量变化如图9所示,其中多种成分如3''-O-乙酰远志皂苷D2、桔梗皂苷H、桔梗皂苷L、3''-O-乙酰桔梗皂苷D2、桔梗皂苷G3、桔梗皂苷E在安徽桔梗中的含量高于河南桔梗与吉林桔梗中的含量;桔梗二酸A内酯在吉林桔梗中的含量高于河南桔梗以及安徽桔梗中的含量;桔梗皂苷D3、远志皂苷J、远志皂苷D等在河南桔梗中的含量高于安徽桔梗与吉林桔梗中的含量。以上数据表明不同产地桔梗的皂苷含量具有一定差异,安徽产地桔梗在皂苷类成分的含量上与河南及吉林产地桔梗存在较大差异,且皂苷类成分含量显著高于河南与吉林产地桔梗。

    • 桔梗(Platycodon grandiflorus)为桔梗科多年生的草本植物,具有宣肺,利咽,祛痰,排脓的功效。作为传统药食同源中药,被广泛应用于各种方剂、中成药和保健品中,是我国中药大品种之一[14-15]。其药用价值主要源于三萜皂苷类成分,具有抗炎、免疫调节及镇咳祛痰等药理活性[16]。由于我国桔梗资源分布广泛,不同产地的生态环境差异可能导致桔梗皂苷类成分的组成与含量显著不同,进而影响药材质量与临床疗效[17]。本研究基于UHPLC-Q-TOF/MS技术,系统分析了安徽、河南、吉林3个主产区桔梗的皂苷类成分差异,为桔梗优质资源筛选与质量控制提供了科学依据。

      为了全面表征桔梗中皂苷类成分,本研究首先考察了不同离子模式下桔梗皂苷类成分的表征情况,发现在正离子模式下识别到的色谱峰数目多、丰度高;而负离子模式下识别到的色谱峰数目较少并且基线噪音较大,故选用正离子作为本研究的离子识别模式。进一步采用正交实验法对桔梗皂苷提取方法进行优选 [18-19]。以甲醇浓度(30%、70%、100%)、料液比(1∶25、1∶40、1∶50)、超声提取时间(15、30、45 min)为考察因素,采用3因素3水平正交试验设计(共开展9组试验);每个样品平行提取3份,提取液进UHPLC-Q-TOF/MS分析,平行进样3次;随后利用MS-DIAL进行数据处理,以多指标综合加权评分法(满分100分)确定最佳提取工艺,正离子模式评分权重系数为50,负离子模式评分权重系数为40,桔梗皂苷D相对含量评分权重系数为10;其中每种离子模式评分采用最大值归一化方法进行确认,则该样品正离子模式评分=该样品正离子模式下离子数目/实验组最多的正离子数量×100%,该样品负离子模式评分=该样品负离子模式下离子数目/实验组最多的负离子数量×100%;桔梗皂苷D相对含量评分=桔梗皂苷D峰高/内标峰高。

      正交试验结果显示,甲醇浓度、料液比、超声提取时间3个因素的极差R值分别为8.363、12.836、4.883,表明3个因素对试验指标影响的主次顺序依次是料液比>甲醇浓度>超声提取时间;K值(因素各水平对试验指标的综合影响)最大作为该因素的最优水平,甲醇浓度30%、70%、100%对应的K值依次是36.70、45.06、38.73;料液比1∶25、1∶40、1∶50对应的K值依次是47.95、37.43、35.11;超声提取时间15 min、30 min、45 min对应的K值依次是37.79、40.03、42.68,据此确定各因素最优水平分别为甲醇浓度70%、料液比1∶25、超声提取时间45 min。方差分析进一步验证,甲醇浓度、料液比、超声提取时间的偏差平方和依次为114.06、280.76、35.85(自由度均为2),F比依次为8.31、20.47、2.61;以F临界值19为判定标准,仅料液比的F比(20.47)>临界值且P<0.05,为显著影响因素,甲醇浓度与超声提取时间的影响未达显著水平,因此料液比为主要因素,甲醇浓度及因素C超声提取时间为次要因素。综上所述,桔梗皂苷的最佳提取工艺确定为:采用70%甲醇水溶液,料液比1∶25(g/ml),超声提取45 min,该条件下可检测的桔梗皂苷类成分最多。

      本研究采用UHPLC-Q-TOF/MS技术结合多元统计分析,克服了传统HPLC-MS分辨率不足的局限性。通过二级质谱碎片比对及对照品验证,共鉴定出28种皂苷类成分,其中桔梗皂苷D,去芹糖桔梗皂苷E、远志皂苷D以及去芹糖桔梗皂苷D等为多项研究所关注 [20-21]。从皂苷类成分数量上,3个产地的桔梗未见地区差异。PCA与PLS-DA显示,桔梗皂苷D在各地区间差异较小,而桔梗皂苷B、E、C、D、D2、去芹糖及3’-O-乙酰化衍生物等多个成分表现出显著产地差异性(P<0.05),当前药典以桔梗皂苷D作为质量控制指标,但本研究结果表明,不同产地桔梗的活性成分谱存在显著差异,提示单一指标成分可能不足以全面评价桔梗质量。具体而言,安徽桔梗中桔梗皂苷H、桔梗皂苷L、桔梗皂苷G3及3’-O-乙酰化衍生物含量较高,这些成分具有显著抗炎活性,可能与该产区气候温和、土壤有机质丰富有关 [22]。河南桔梗富含的桔梗皂苷D3、远志皂苷J、远志皂苷D等,可能与甲羟戊酸焦 P 酸脱羧酶、异戊烯基焦 P 酸异构酶等桔梗皂苷合成过程中的主要关键酶表达有关。吉林桔梗远志酸含量突出,或与其传统去皮晒干产地加工工艺有关[23]

      桔梗中所含的丰富的皂苷类成分对桔梗药材的质量控制也有十分关键的作用,有研究表明桔梗皂苷D、远志皂苷[24-25]可以通过多种机制发挥抗炎、抗氧化应激以及抗癌作用,远志皂苷还有保护神经细胞的作用;去芹糖桔梗皂苷D桔梗皂苷 D3、远志皂苷 D通过抗炎、免疫功能调节等多种机制发挥镇咳祛痰的作用[26-27]。鉴于多种桔梗皂苷(E、H、L、G3等)较强的抗炎活性,若以抗炎活性为导向,安徽桔梗可能更具优势[28-29];而以镇咳祛痰为目标时,河南产地或为优选[30]

      本研究通过高分辨质谱与化学计量学,揭示了安徽、河南、吉林桔梗的皂苷类成分差异,为桔梗药材的产地选择、质量标准化及临床应用提供了数据支撑。未来需结合多组学技术,深入探究环境-成分-药效的关联性,推动桔梗资源的精准开发利用。

Reference (30)

Catalog

    /

    DownLoad:  Full-Size Img  PowerPoint
    Return
    Return